Docencia e Investigación
Arriba Último Nro. Índice Nros. Anteriores Índices Históricos

ISSN: 1575-2844

Revista Vivat Academia

 Histórico Año IV

linea.gif (922 bytes)

Diciembre 2001 - Enero 2002. Nº 31

Contenido de la sección:

El mes de Brumario (Benjamín Hernández Blázquez)
Ecuaciones en diferencias. Planteamiento general (Arturo Pérez París y Julio Gutiérrez)
Introducción
Equilibrio
Ecuaciones Lineales y de Primer Orden en Diferencias
Orden o Grado de las Ecuaciones en Diferencias
Elementos de cálculo de las diferencias
Soluciones de las ecuaciones lineales
Conclusión
RECORTES
El nuevo escenario educativo
Pilar del Castillo pide «colaboración» para reformar la Secundaria
Protestas universitarias con mucha historia
Enseñar al que no sabe
Educación y fundamentalismos
Lluis Santalo: El pedagogo de las matemáticas
Los alumnos españoles de secundaria, entre los peores de los países desarrollados
El estudio revela que los chicos son más reacios a la lectura que las adolescentes
Reformar la educación secundaria
El PSOE dice que falta presupuesto y hay mala gestión
El 91% lee por obligación
Los estudiantes españoles de 15 años, entre los que menos saben del mundo desarrollado
Evaluación de la OCDE sobre la secundaria
Los padres coinciden en que la educación pasa un periodo crítico
Sindicatos y oposición culpan al Gobierno de los malos resultados
Sólo dos universidades cubren las plazas reservadas a alumnos de otras comunidades
El nivel de los alumnos

El mes de Brumario

Benjamín Hernández Blázquez. Universidad Complutense.

Noviembre, en lo que atañe a su duración, la media mensual de 30 días, ha sufrido las veleidades seculares inherentes a los políticos de turno, igual que los otros meses "latinos" que van de septiembre a diciembre, en los que su rango no se identifica con la etimología. Permanece invariable su representación alegórica como un leñador que porta hojas o un haz de leña, o bien por una figura masculina asido al cuerno de la abundancia, de donde salen algunas raíces, postrero presente que en esta época ofrece la hurgada tierra, y que el versátil campesino hendió sus surcos el mes pasado porque "en noviembre quien no sembró que no siembre" o "marzo trae las hojas y noviembre las despoja".

Superado el manido "veranillo del membrillo o de san Martín" que "dura tres días y fin", ya que hacía el día 11, suele acontecer un ligero ascenso de las temperaturas que, asimismo, finaliza la maduración del membrillo. Este mes, que el calendario republicano francés identificó con brumario o de las brumas, se inicia estadísticamente con una bajada general de las temperaturas, que en Salamanca arroja una media de 7º igual que Lyon y Milán y 6,5º menos que la temperatura media de octubre. Mientras tanto, las precipitaciones de 45 mm se encuentran lejos de los 21 mm de santa Cruz de Tenerife o de los 186 mm registrados en Pontevedra.

En su devenir histórico a noviembre le asisten numerosas leyendas. Diversos pueblos, nómadas o sedentarios y de distintas latitudes, lo consideran el paradigma de las nieblas, el mes de la sangre por los sacrificios de animales en honor de los dioses o chamanes, y sobre todo, el mes de los vientos emanado de tradiciones celta y sajona por las tempestades que asolaban sus costas. También en la vieja Castilla: "el viento que sopla por san Martín dura hasta el fin" o "viento que se acuesta al anochecer se levanta al amanecer".

Los vientos con denominación antigua, mitológica o las actuales: galernas terrales, cierzos, virazones, vendavales, brisas, sirocos, ... avalan las diversas teorías sobre la vinculación pretérita y actual entre civilización y clima. La historia de muchos pueblos se ha escrito en función del viento, omnipresente y dinámico elemento susceptible de aprehensión por todos los sentidos humanos excluida la vista. En el devenir de muchos países "el soplo de los dioses" propició la navegación y marcó los rumbos migratorios de poblaciones tan dispares como, fenicios, vikingos o polinesios.

Los vientos, locales o asociados a la circulación general, han sido representados en la mitología y por los poetas antiguos como gigantes turbulentos, inquietos y veleidosos, a veces con forma humana. Los dioses representativos se revistieron de figuritas de caballos e incluso de endriagos; en la Torre de los Vientos figuraban formas explicativas de sus diferentes divisiones y jerarquías: Eolo era el Dios que los manejaba a su antojo y encerraba en una caverna a los más furiosos como Boereas el viento del norte paradigma de la rudeza, Cefiro el que soplaba del oeste prototipo de la dulzura, o el Austro caliente y tormentoso del sur y el Euro que volaba desde el este.

Los hebreos de la Biblia designaban "viento" y "espíritu" con el vocablo "ruah" ambos equivalentes; como los términos ánima (alma) y anemos (vientos) por lo que, en muchos sepulcros, el día de los Difuntos y sucesivas fechas de noviembre, se dejaban orificios adecuados para que las ánimas, identificadas como vientos, pudieran entrar y salir de las criptas, rompiendo las fronteras entre dos mundos ancestralmente antagonistas: el de los vivios y el de los muertos.

El jesuita medinense José Acosta, en el siglo XVI, dos siglos antes que Alejandro Malaspina, analizó los vientos del Novo Mundo, relativizándolos con los españoles, como parte esencial del ciclo hidrológico del que fue primero en analizar. Por lo que respecta al Instituto Nacional de Meteorología registra como vientos más frecuentes y violentos en España los del S.O. y N.O. que casi siempre acaecen "al paso de un fuerte frío asociado a una profunda borrasca centrada en el norte".

Pero de cualquier manera, mes de nieblas, difuntos, vientos, así como renovación de contratos de aparcería y arrendamientos de tierras, la martiniega etc, acompañado de un descenso significado de las temperaturas medias son variables que convergen en la carestía de fiestas patronales, el menos festivo del año. "Dichoso mes que entra con los Santos y sale con san Andrés".

Volver al principio del artículo             Volver al principio

Ecuaciones en diferencias. Planteamiento general

Arturo Pérez París y Julio Gutiérrez. Universidad de Alcalá

Introducción
Equilibrio
Ecuaciones Lineales y de Primer Orden en Diferencias
Orden o Grado de las Ecuaciones en Diferencias
Elementos de cálculo de las diferencias
Soluciones de las ecuaciones lineales
Conclusión

Introducción

En el número anterior de Vivat Academia, hacíamos una introducción al estudio de las ecuaciones en diferencias, mediante un bonito rompecabezas, denominado las "Torres de Hanoi", a través del cual se describe, de forma sencilla, el método de la recurrencia. Ello nos permitió encontrar el valor de un estado cualquiera de un sistema en función de su estado precedente, estableciendo la correspondiente ecuación. En las ciencias de la computación y sobre todo en lo referente a su aplicación sobre sistemas de control digital, así como en otras muchas áreas del saber, la aplicación de esta herramienta matemática nos permite la síntesis de programas que realicen una determinada tarea que sabemos con certeza como sería (o habría de ser), de forma empírica, mediante una secuencia de "n" elementos. En esta segunda parte haremos un ejercicio de abstracción, para estudiar un poco más a fondo las ecuaciones de este tipo.

En consecuencia, las Ecuaciones en Diferencias nos describen la evolución temporal de un sistema o un fenómeno, de forma que los diferentes estados discretos, por los que pasa sucesivamente, son función directa de los correspondientes estados inmediatamente anteriores; estos son los llamados sistemas dinámicos discretos, es decir con evoluciones a saltos en el tiempo y no de forma continua, lo que vendría expresado por una ecuación diferencial. Así pues, si un sistema se encuentra en un estado n+1 (con n perteneciente al conjunto de los números enteros positivos: nÎ Z+, n = {0, 1, 2, 3, .... a, a+1, a+2, …. }) la formulación general de este tipo de ecuaciones se expresará:

y[n+1] = f(y[n])

o, alternativamente, partiendo de un estado inicial para el sistema, y[0], podemos generar la secuencia

y[0], f(y[0]), f(f(y[0])), f(f(f(y[0]))),...

que habitualmente se escribe en la forma siguiente:

f0(y[0]) = y[0];
f(y[0]) = f1(y[0]);
f2 (y[0]) = f(f(y[0]));
f3(y[0]) = f(f (f(y[0])))...

o bien

y[n+1] = fn+1(y[0]) = f(y[n]) = f(fn(y[0]))

Para permitir al lector manejarse con la nomenclatura convencional en estos casos, diremos que

f(y[0]) es llamado primer iterante de y[0] en la función f
f2 (y[0]) es llamado segundo iterante de y[0] en la función f
.
.
.
fn(y[0]) es llamado enésimo iterante de y[0] en la función f

El conjunto de todos los iterantes, que se representa normalmente por {fn(y[0]), nÎ Z+, o bien por O(y[0]), se denomina órbita de y[0].

Pongamos un ejemplo:

Sea y[0] = 256 y f(y[n]) = (y[n])1/2. La secuencia de iterantes se corresponde con:

256; 16; 4; 2; 1,41; 1,19; etc.

Como se puede apreciar fácilmente, esta secuencia tiende a la unidad, que sería entonces un punto atractor de la órbita, donde, además, permanecería el sistema indefinidamente. Es decir, podríamos considerarlo como un estado de equilibrio del sistema. En la resolución de esta especie de ecuaciones (obviamente no en el ejemplo precedente) nos encontraremos con comportamientos curiosos de este tipo: puntos atractores, a los que el sistema tiende asintóticamente; puntos de equilibrio, donde el sistema, una vez alcanzados, permanece, y que a su vez pueden ser estables o inestables; puntos periódicos entre los cuales el sistema oscila, tomando valores iguales alternativamente; y puntos de bifurcación, en los que el sistema puede tomar varios valores simultáneamente, encontrando vías diferentes de evolución. Al respecto de los puntos de bifurcación recomendamos la lectura del artículo introductorio mencionado, publicado en el número 30 de Vivat Academia, donde, en la resolución del problema de las "Torres de Hanoi", había situaciones en las que podíamos optar por un cambio de fase u otro que, en unos casos, nos llevaban a la situación inicial y, en otros, podían hacer que el sistema diera con un estado en el que se hacía necesario desandar los pasos dados para llegar a la solución correcta.

Volver al principio de Introducción              Volver al principio del artículo             Volver al principio

Equilibrio

Es particularmente interesante estudiar los puntos de equilibrio. Llamamos punto o estado de equilibrio de una ecuación en diferencias a aquel estado y[n] que verifica:

y[n+1] = f(y[n]) = y[n]

es decir, el estado permanece invariante. Veámoslo mediante un ejemplo. Sea el valor del estado:

y[n] = x

y la función que determina la evolución del sistema:

y[n+1] = f(y[n]) = y[n]. y[n]. y[n] = y3[n] = x3

Esta ecuación representa un sistema con tres puntos de equilibrio, a saber:

x = 1, x = -1 y x = 0

Si el sistema llega alguna vez a tomar alguno de los tres anteriores valores, tras partir de una condición inicial (un valor de x) determinada, habrá alcanzado un punto de equilibrio.

Existe una diferencia fundamental entre este tipo de equilibrios, obtenidos mediante ecuaciones en diferencias y los obtenidos mediante una ecuación diferencial. Mientras en estas últimas los equilibrios son soluciones bien definidas de la ecuación, en los sistemas tratados en diferencias, una solución de la ecuación puede no representar un equilibrio de partida pero, tras un número finito de iteraciones, puede alcanzar un punto de equilibrio y, si es estable, permanecer en él y ello dependerá de las condiciones iniciales del problema, es decir del valor de y[0]. El ejemplo anterior no es muy ilustrativo al respecto, ya que x3 sólo puede alcanzar alguno de los tres valores si parte inicialmente de ellos. Pero se pueden encontrar sistemas que se comporten de tal manera que se alcance la estabilidad dependiendo de la condición inicial.

Ejemplo:

Sea el sistema descrito por la ecuación en diferencias

y[n+1] = f(y[n])

con

f(y[n]) = 2 y[n]
si y[n] toma valores en el intervalo cerrado [0, ½], (es decir, con inclusión de los valores correspondientes a los bordes)
f(y[n]) = 2 (1-y[n])
si y[n] toma valores en el intervalo abierto por la izquierda (1/2, 1], (es decir, con inclusión del valor del borde derecho y exclusión del correspondiente valor del borde izquierdo).
f(y[n]) = 3 y[n] –1
si y[n] toma valores mayores que la unidad.

Tomemos como condición inicial y[0] = 1/8. Siguiendo el proceso de iteración, encontramos

y[1] = ¼
y[2] = ½
y[3] = 1
y[4] = 0
y[5] = 0
y[6] = 0
y así indefinidamente

Es decir hemos alcanzado un punto de estabilidad en sólo cuatro iteraciones, donde el sistema permanecerá en el futuro, sin cambio alguno. El estado de equilibrio es 0. Se puede comprobar fácilmente que existe otro punto de equilibrio de valor 2/3.

Sin embargo, si tomamos como condición inicial y[0] = 5/9, el sistema crece en valor indefinidamente.

Las ecuaciones en diferencias proveen, en muchas áreas del conocimiento (Física, Biología, Economía, Ingeniería, etc.), la solución de problemas ligados a la estabilidad, asintoticidad de un comportamiento dinámico, oscilaciones, teoría del control, caos, fractales, etc. No obstante, nuestra intención es dar a conocer su comportamiento general, para resolver ecuaciones diferenciales por métodos prestados de estos procedimientos. Por consiguiente, no vamos a profundizar en el estudio de las Ecuaciones en Diferencias y nos limitaremos a dar una serie de pautas que nos serán útiles más adelante.

NOTA: Nótese que la ecuación sólo contiene una variable y[n] (en la nomenclatura del artículo anterior, un cambio de fase y[n]). Si la ecuación representara el valor del estado y[n] en función, no sólo de sus estados anteriores, sino también en función de los estados de otras variables o cambios de fase, x[n], z[n], etc., que, a su vez, dependen de sus correspondientes estados anteriores entre sí y de los de la variable y[n], denominaríamos al conjunto Sistema de Ecuaciones en Diferencias.

Volver al principio de Equilibrio              Volver al principio del artículo             Volver al principio

Ecuaciones Lineales y de Primer Orden en Diferencias

Una Ecuación en Diferencias, lineal de primer orden sería:

y[n+1] = c(n) y[n] + b(n)

Donde c(n) y b(n) son coeficientes, que varían, en principio, de un estado a otro, es decir, c(n+1) puede ser diferente de c(n) (análogamente con b(n)), en cuyo caso se denomina ecuación de coeficientes no constantes. Si c y b son constantes reales (c,b Î R) que mantienen su valor a lo largo de todo el proceso, la nomenclatura cambiaría a Ecuación Lineal en Diferencias, con Coeficientes Constantes. Además, esta ecuación recibe el sobrenombre de inhomogénea, por el hecho de poseer el término adicional b(n) que, si bien es independiente del cambio de fase y[n] en sí, es función del estado n, lo que hace cambiar considerablemente el resultado en cada iteración. La correspondiente ecuación homogénea se escribiría:

y[n+1] = c(n) y[n]

La ecuación se denomina lineal porque depende exclusivamente del valor del estado anterior y no de una función complicada de ese mismo estado anterior, o de una combinación de estados anteriores.

Como ejemplo de una ecuación inhomogénea en coeficientes variables tendríamos:

y[2] = c(1)y[1] + b(1)

y[3] = c(2)y[2] + b(2) = c(2)(c(1)y[1] + b(1)) + b(2) =
= c(2)c(1)y[1] + c(2)b(1)) + b(2)

y[4] = c(3)y[3] + b(3) = c(3)(c(2)y[2] + b(2)) + b(3) =
c(3)c(2)c(1)y[1] + c(3)c(2)b(1)) + c(3)b(2) + b(3)

y así sucesivamente. En este caso hemos partido de una condición inicial sobre el estado y[1].

Una muestra de lo que podría ser una Ecuación Lineal, Inhomogénea, en Diferencias con Coeficientes Constantes podría ser la siguiente:

3 y[n+1] -2 y[n] = 2

3, 2 y 1 Coeficientes constantes

y[n+1] Instante futuro de la ecuación

y[n] Instante presente de la ecuación

Una ecuación en diferencias con coeficientes no constantes podría ser:

3n y[n+1] -2 (n+1)·y[n] = n + 2

3n, 2(n+1) y (n+2) Coeficientes (no constantes)

El dominio discreto es definido por los valores que tomará la función en puntos concretos y aislados dentro de una acotación de estos, es decir, dentro del intervalo de validez de los diferentes estados.

Volver al principio de Ecuaciones Lineales y de Primer Orden en Diferencias              Volver al principio del artículo             Volver al principio

Orden o Grado de las Ecuaciones en Diferencias

Los ejemplos puestos hasta ahora lo son de ecuaciones de primer orden, o también de primer grado, porque cada estado depende del inmediato anterior. Si la ecuación describiera el valor de un estado n en función del valor de dos o más estados anteriores, pongamos por caso:

y[n+1] = f(y[n-4])

diríamos que es de un grado u orden mayor que la unidad. En el ejemplo anterior el grado sería 5, ya que un estado concreto es función directa de lo que aconteció cinco estados anteriores.

Pueden existir combinaciones de varios estados anteriores, como por ejemplo:

y[n] = f(y[n-4]) + g(y[n-3]) + h(y[n-1])

Llamaremos "designador de instante" al número entero que, restado del valor de n, indica cuántos estados anteriores hay que considerar en el correspondiente término de la ecuación. Así la expresión anterior podríamos escribirla:

y[n] = f(y[n-a1]) + g(y[n-a2]) + h(y[n-a3])

con valores a1=4, a2=3 y a3=1. Los coeficientes ai son los designadores de instante y han de pertenecer a los enteros positivos (ai Î Z+).

El grado u orden de la ecuación vendrá determinado por el mayor de los designadores de instantes (ai). La ecuación:

3 y[n+1] -2 y[n] = n + 2

es de grado uno, (además de tratarse de una ecuación lineal no homogénea). Sin embargo, la siguiente:

3 y[n+5] -2 y[n] = 0

consiste en una ecuación de quinto grado (que es además lineal y homogénea).

La resolución de estas ecuaciones necesita de tantos valores iniciales como grado tengan ya que, en principio, no están definidas todas las condiciones de partida de las mismas. Es decir, continuando con el mismo ejemplo anterior, si conocemos el valor de y[n], conoceremos el estado y[n+5], pero desconocemos los estados intermedios y[n+1], y[n+2], y[n+3] e y[n+4], y no podremos determinar directamente y[n+6], y[n+7], y[n+8], y[n+9] y sus correspondientes posteriores, salvo que demos explícitamente estos valores al comienzo.

Este tipo de ecuaciones lineales en diferencias de orden mayor que la unidad son clásicas en casi todos los ámbitos de la Ciencia. Así están presentes en el estudio de la dinámica de poblaciones de una sola especie (cuando se hacen intervenir varias especies, nos enfrentaríamos a la resolución de sistemas de ecuaciones en diferencias), en la evolución de la economía, cuando se hace intervenir una sola variable, en el estudio del movimiento de un único cuerpo en física...

Volver al principio de Orden o Grado de las Ecuaciones en Diferencias             Volver al principio del artículo             Volver al principio

Elementos de cálculo de las diferencias

El cálculo correspondiente a las ecuaciones en diferencias es muy similar al correspondiente de las ecuaciones diferenciales e integrales y, en un próximo artículo discutiremos estas analogías que nos llevan a poder resolver las ecuaciones diferenciales, con métodos numéricos, haciendo uso de las técnicas de resolución de las ecuaciones que nos ocupan. Vamos, pues, a definir una serie de operadores que nos facilitarán los cálculos y nos serán muy útiles en el futuro. Estos operadores son: operador identidad, operador diferencia, operador desplazamiento, y operador antidiferencia.

Denominamos operador identidad (I) a aquella operación en el sistema que deja invariante (sin cambios) su estado, es decir:

I y[n] = y[n]

Su aplicación sucesiva será:

Ik y[n] = I y[n] = y[n]

Denominamos operador diferencia (D) al proceso que lleva a obtener la diferencia entre dos estados consecutivos, o lo que es lo mismo:

D y[n] = y[n+1] – y[n]

Este operador D también suele designarse por la letra griega D, denominada a su vez incremento.

Denominamos operador desplazamiento (E) (también llamado operador salto)a la operación que me lleva a obtener el estado futuro de un sistema a partir del estado precedente. Consecuentemente este operador coincide con la propia definición de ecuación en diferencias cuando el grado de la ecuación es uno, mientras que será diferente si el grado de la ecuación es superior a la unidad:

E y[n] = y[n+1]

Obviamente, la aplicación sucesiva del operador desplazamiento hace posible el salto de un estado a otro alejado en el futuro, o en forma abreviada:

Ek y[n] = y[n+k]

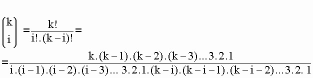
Es inmediato encontrar que el operador diferencia es combinación de los operadores identidad y desplazamiento, siendo complicada la relación directa entre D y E:

D y[n] = (EI) y[n] = y[n+1] – y[n]

Por lo tanto, su aplicación sucesiva se puede escribir como:

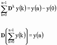
Dk y[n] = (EI)k y[n]

Que, recordando el desarrollo de la potencia de un binomio:

(a – b)2 = a2 + b2 - 2. a . b
(a - b)3 = a3 - 3. a2 . b + 3. a . b2 - b3
………….

ecuacion1.jpg (5401 bytes)

donde

ecuacion2.jpg (18634 bytes)

con el convenio: 0! = 1,

equivale a:

ecuacion3.jpg (16215 bytes)

Correspondientemente, se puede demostrar:

ecuacion4.jpg (5176 bytes)

El operador diferencia D es el equivalente al operador derivada en el cálculo diferencial.

También son fáciles de demostrar las siguientes igualdades:

ecuacion6.jpg (7843 bytes)

Similarmente podemos definir una suma de potencias del operador desplazamiento E, en forma polinomial:

p(E) = a0 Ek + a1 E(k-1) + a2 E(k-2) + ... + a(k-1) E + ak I

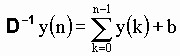
Denominamos operador antidiferencia (D-1 ó D-1) a la operación consistente es deshacer la correspondiente al operador diferencia. Obviamente, en el contexto de las ecuaciones diferenciales ello equivale a realizar la integración. Su definición será:

D D-1 y[n] = y[n]

O bien:

D D-1 = I

Recordemos la definición del operador diferencia y de la propia ecuación en diferencias:

y[n+1] = f(y[n])

D y[n] = y[n+1] – y[n]

Por consiguiente:

D y[n+1] = y[n+2] – y[n+1] =
= D f(y[n]) = f(y[n+1]) - f(y[n])

Si añadimos una constante a la función que determina la ecuación:

y[n+1] = f(y[n]) + b

la operación D será:

D y[n] = y[n+1] – y[n] = f(y[n]) + b - f(y[n-1]) - b =
= f(y[n]) - f(y[n-1]) =
= D {f(y[n-1]) + b} = D {f(y[n-1])}

Es decir, añadir una constante al valor de un estado proporciona el mismo valor para la operación diferencia. Obviamente el operador antidiferencia en solitario no tiene por qué proporcionar exactamente el valor de la función que determina el salto de un estado a otro, sino ese valor salvo una constante, ya que la aplicación posterior del operador diferencia nos dará el mismo resultado. Llamemos F(y[n]) a la función tal que

D-1 f(y[n]) = F(y[n])

De la definición de antidiferencia:

D D-1 f(y[n]) = f(y[n]) = D F(y[n]) = D {F(y[n] + b}

O consecuentemente:

D-1 f(y[n]) = F(y[n]) + b

Donde b puede tomar el valor cero (0). En definitiva tenemos infinitos estados posibles, diferenciados mediante constantes, en la aplicación del operador antidiferencia. Consecuentemente:

D-1 D F(y[n]) = F(y[n]) + b

Mientras que:

D D-1 f(y[n]) = f(y[n])

En este caso se dice que los operadores D y D-1 no conmutan, puesto que su aplicación en orden diferente produce resultados distintos.

Por otra parte, como

ecuacion7.jpg (3844 bytes)

se puede inferir con facilidad el resultado

ecuacion8.jpg (4156 bytes)

Volver al principio de Elementos de cálculo de las diferencias             Volver al principio del artículo             Volver al principio

Soluciones de las ecuaciones lineales

Si una ecuación es lineal de cualquier grado, sea homogénea o no, con coeficientes constantes o variables, es decir:

ecuacion9.jpg (4184 bytes)

siendo k un número entero, y admite más de una solución, la suma combinada (combinación lineal) de las soluciones es también solución de la ecuación. Efectivamente, sean y1[n] e y2[n] dos soluciones cualesquiera. La combinación:

y[n] = P y1[n] + Q y2[n]

con P y Q dos números reales indeterminados, también es solución. Escribamos la ecuación en la forma:

ecuacion10.jpg (4571 bytes)

Como y1[n] e y2[n] son soluciones, ambas verifican:

ecuacion11.jpg (4687 bytes)

ecuacion12.jpg (4524 bytes)

Por lo tanto:

ecuacion13.jpg (9733 bytes)

Ello nos resultará especialmente útil para encontrar las soluciones generales de nuestras ecuaciones: aquellas soluciones que nos permiten definir la evolución de un sistema para cualquier condición inicial.

Si tenemos un conjunto de soluciones linealmente independientes de una ecuación lineal, es decir, una combinación lineal arbitraria de ellas en la forma:

P1 y1[n] + P2 y2[n] + P3 y3[n] + ... + Pm ym[n]

que sólo puede anularse si se anulan cada uno de los coeficientes Pm, la combinación anterior es también solución no trivial de la ecuación. Si ese conjunto de soluciones es completo, es decir hemos encontrado todas las soluciones linealmente independientes posibles, esa combinación lineal nos proporciona la solución llamada general y podremos determinar el valor de y[n] para un valor cualquiera de y[0].

Volver al principio de Soluciones de las ecuaciones lineales             Volver al principio del artículo             Volver al principio

Conclusión:

Hemos dado en el presente artículo una serie de pautas para poder manipular adecuadamente las ecuaciones lineales en diferencias. También hemos estudiado, de forma somera, los criterios de estabilidad y asintoticidad.

Cualquier ecuación de este tipo puede resolverse por el método estándar de la recurrencia. En los casos más simples ello puede ser útil. Sin embargo, en la mayoría de los casos que nos encontraremos, debemos recurrir a otros métodos con el fin de asegurarnos la obtención de las soluciones sin recurrir a cálculos complejos y larguísimos.

Dejamos para próximas entregas la descripción de alguno de estos métodos de resolución, así como los teoremas de existencia y unicidad de las soluciones. También haremos el paralelismo entre este tipo de ecuaciones y las ecuaciones diferenciales, para posteriormente indicar los métodos de resolución de estas últimas en consonancia con los obtenidos para las ecuaciones en diferencias. Nótese que las definiciones dadas para los operadores se asemejan extraordinariamente con los procesos de tratamiento de la diferenciación e integración de ecuaciones.

Volver al principio de la Conclusión             Volver al principio del artículo             Volver al principio

RECORTES

El nuevo escenario educativo
Pilar del Castillo pide «colaboración» para reformar la Secundaria
Protestas universitarias con mucha historia
Enseñar al que no sabe
Educación y fundamentalismos
Lluis Santalo: El pedagogo de las matemáticas
Los alumnos españoles de secundaria, entre los peores de los países desarrollados
El estudio revela que los chicos son más reacios a la lectura que las adolescentes
Reformar la educación secundaria
El PSOE dice que falta presupuesto y hay mala gestión
El 91% lee por obligación
Los estudiantes españoles de 15 años, entre los que menos saben del mundo desarrollado
Evaluación de la OCDE sobre la secundaria
Los padres coinciden en que la educación pasa un periodo crítico
Sindicatos y oposición culpan al Gobierno de los malos resultados
Sólo dos universidades cubren las plazas reservadas a alumnos de otras comunidades
El nivel de los alumnos

El nuevo escenario educativo

FRANCISCO DELGADO RUIZ. Diario "El Mundo", martes 13 de noviembre de 2001.

l sistema educativo español está, peligrosamente, estático y, en algunas cuestiones, con una cierta regresión, como consecuencia de políticas raquíticas, eso sí, cargadas de mucha retórica y engaños. En primer lugar, por su peculiar y lamentable historia y en segundo, como consecuencia de una sociedad de cambios importantes y acelerados, que no llegan ni al sistema, ni a los centros educativos.

A pesar de ello, los responsables políticos intentan morir de éxito calificando (en cada caso y circunstancia) de «magnífica» su gestión en materia educativa... Mientras en Ceuta (y en otros lugares de España) se frena la integración... Mientras que la ratio, en muchas aulas, sigue siendo muy alta... Mientras que hemos hecho (entre todos) fracasar a la LOGSE (en especial en la etapa de Secundaria), como consecuencia de una enorme falta de medios y de un sobrante de actitudes pasivas, cómodas y selectivas...Mientras que no se trata, flexiblemente, a la escuela rural...Mientras los proyectos educativos (en muchos centros) o no existen o son un simple papel burocrático sin objetivo alguno... Mientras la democracia y la participación social se ha quedado a las puertas de los centros educativos... Mientras el profesorado culpa a las familias de que delegan en exceso la educación de sus hijos e hijas en la escuela y andan enormemente desorientados, pues no se cuenta con ellos, para tomar las decisiones importantes...Mientras que se establece una violencia preocupante en los centros, cuyas causas son fáciles de determinar y los remedios posibles...Mientras que (a estas alturas) las nuevas ciencias y los idiomas se siguen considerando marías... Mientras que la escuela española sigue anclada en la confesionalidad católica, la educación para la diversidad es sólo teoría y la comprensividad se ha enterrado, definitivamente.

Mientras nos ocurre todo esto, estamos estancados en un déficit presupuestario que, en España, supera a estas alturas el 25% con respecto a la media de los países de la OCDE. En Castilla La Mancha y otras regiones de baja renta supera el 35%, lo que hace profundizar las desigualdades de todo tipo. Mientras pasan todas estas cosas y más, se aprecia que la escuela española no opera en tiempo real.

Esta es la situación en que se encuentra la enseñanza cuando se aproxima, a pasos agigantados, un nuevo escenario educativo que significa una revolución inimaginable. Hay quienes empiezan a denominarlo «el tercer escenario». El complejo y desigual modelo de sociedad que se está instalando entre nosotros, con un sistema social y político en crisis (cuya constatación palpable la vivimos durante estos días) y, sobre todo, con el impacto de la nuevas tecnologías de la comunicación y de la información están haciendo que (se quiera o no) se remuevan los cimientos de la escuela tal y como la conocemos hoy, tanto en lo que afecta a la educación no universitaria como a la universitaria.

Puede dejarse al margen la realidad social, cuyo futuro es una incógnita y ningún analista se atrevería a predecir, dada la convulsa situación actual. Pero sí es una evidencia que los nuevos y progresivos avances de la tecnología de la información (que están alterando la naturaleza del trabajo y del ejercicio ciudadano) han venido para quedarse y ocupar espacios, muy importantes, en nuestras vidas y en nuestras relaciones sociales. Esta nueva realidad tecnológica ya presiona y aún presionará más a la educación y a las instituciones educativas, transformando el qué y el cómo aprenderemos, así como la organización de todo el sistema educativo, incluidos los centros educativos universitarios y no universitarios, y por supuesto la formación permanente y para toda la vida.

Más allá de discutir sobre las virtudes o limitaciones de las nuevas tecnologías aplicadas a la educación, éstas se convertirán (por encima de las resistencias que haya) en un soporte importante de la educación y del aprendizaje. Para hacer frente a todo ello se requerirán complejos procesos de innovación en cada uno de los aspectos educativos, incluidos el sentido de la escolaridad, el currículo, los métodos de enseñanza aprendizaje, los contenidos y el soporte de los textos, las evaluaciones, la organización de los centros, la evaluación del propio sistema, la participación social, los horarios lectivos obligatorios (tanto presenciales, como no presenciales), el desarrollo profesional del profesorado y sus nuevas funciones... ¿Cómo compatibilizar la anticuada estructura organizativa del sistema y de los centros educativos, los actuales y arcaicos ritmos lectivos y los métodos tradicionales de enseñanza aprendizaje y la falta de implicación del alumnado en su propio aprendizaje con la nueva y acelerada e imparable situación emergente?

El actual modelo educativo se está quedando obsoleto sin que ni tan siquiera el nuevo sistema (LOGSE) se haya implantado.Modelo que, quizá, podría haber funcionado como experiencia puente o tránsito y que por la dejadez política, y, en parte, corporativa, se ha quedado vacío, antes de nacer... con diferentes contrarreformas que lo han devaluado. Y con la anunciada Ley de Calidad que nos retrotraerá al menos dos décadas en momentos tan decisivos.

Hemos de analizar la realidad tecnológica y social que nos invade inexorablemente y hemos de replantearnos las nuevas y complejas funciones de la educación obligatoria (y no obligatoria), como competencia del Estado y no del mercado. Hemos de analizar la función compensadora de la educación y qué nueva organización y nuevos medios se requieren. Hemos de replantearnos las funciones y la formación inicial y permanente de los docentes, así como una nueva estructura de los centros, de su organización, del soporte (tecnológico, red y papel) y contenidos de los textos, de las necesidades presenciales y no presenciales del alumnado (según qué edades y de las fórmulas nuevas) para una participación social real y efectiva.

Para todo esto hay respuestas si hay voluntad política y social.Si no empezamos a planificar, con urgencia y valentía, el futuro educativo en el nuevo escenario, quizá nos quedaremos tan atrasados en la historia como otros pueblos a los que observamos hoy. O, quizá, la institución escolar como tal deje de tener sentido y aparezcan nuevos modelos y espacios de socialización y aprendizaje.¿Quién sabe? Quizá sea lo que pretendan los poderes públicos, para abaratar la educación.

Pues bien. Sobre todo ello hemos de reflexionar y no perder el tiempo en cuestiones banales y políticas populistas a corto plazo.Las fórmulas que los actuales poderes públicos están perfilando (en España y en parte de Occidente), tendentes a una creciente privatización y a comprimir sin más horarios lectivos obligatorios, con el fin de eliminar costos y con el objetivo último de implantar las tres redes educativas no son, ni mucho menos, la solución de futuro. Son una huida hacia adelante, cuyo único fin es el de evitar conflictos a corto plazo. Pero el nuevo escenario educativo está ahí. Se quiera o no se quiera, como el nuevo escenario en el mundo del comercio, de las finanzas, de los espectáculos, de la información, de la cultura y hasta de los conflictos.

Francisco Delgado Ruiz fue diputado constituyente, presidente de CEAPA (Confederación Española de Asociaciones de Padres de Alumnos) y miembro de la permanente del Consejo Escolar del Estado.

Volver al principio del artículo             Volver al principio de Recortes             Volver al principio

Pilar del Castillo pide «colaboración» para reformar la Secundaria

Dará a los profesores información «precisa» sobre la ley de calidad de la enseñanza

Diario "El Mundo", MADRID. Lunes 19 de noviembre de 2001.

La ministra de Educación, Pilar del Castillo, se comprometió ayer ante más de 500 profesores de Primaria y Secundaria, que participan en un congreso, a informar de forma «precisa y directa» sobre la futura ley de calidad de la enseñanza, y pidió «colaboración» para afrontar esta próxima reforma.

Del Castillo mantuvo un encuentro con los docentes que participan en el Congreso «En clave de calidad: hacia el éxito escolar», que organiza el Ministerio con el objetivo de analizar la función docente en los centros educativos y el futuro de la educación, y que cuenta con la presencia de la secretaria General de Educación, Isabel Cousso, el director General de FP, Luis Mira, y el director general de Cooperación Territorial, Juan Angel España, entre otros.

La futura ley de calidad, que afectará a la Educación Primaria y Secundaria, es una de las tres reformas previstas por el departamento que dirige Pilar del Castillo, además de la ley de Formación Profesional, que de forma «inminente será aprobada por el Consejo de Ministros», y la Ley Orgánica de Universidades, ahora en trámite en el Senado.

El equipo ministerial presentará próximamente las bases del proyecto de ley de calidad ante la Conferencia Sectorial de Educación, previsiblemente este mismo mes, y aunque todavía no se han dado a conocer los contenidos definitivos, Isabel Cousso recalcó que el objetivo es que «sus propuestas estén en sintonía con los problemas reales de las aulas».

Dificultades

En su alocución a los docentes participantes, la ministra se comprometió «personalmente» a dar a conocer el proyecto de ley de calidad a toda la comunidad educativa y a ofrecer desde el Ministerio «información precisa y directa».

Del Castillo se refirió a las tres reformas de Educación, y reconoció que desde un principio «era consciente de las dificultades» de su puesta en marcha, aunque «la responsabilidad del Gobierno es proponer soluciones a los problemas», según informa Efe.

En este sentido, recordó la Ley Orgánica de Universidades, e hizo hincapié en los cambios introducidos tras los debates en los órganos institucionales correspondientes, en este caso al Consejo de Universidades, y en el trámite parlamentario, para incidir en que algunas de las modificaciones «no satisfacían al cien por cien al Ministerio, aunque pensábamos que concitaban acuerdos».

Sobre las críticas del sindicato de profesores STES, que no participa en el evento por considerarlo «partidista» y por la «forma oscurantista de diseñar el contenido», la secretaria general de Educación negó tales acusaciones y aseguró que ha «querido que participe el mayor universo de docentes para impulsar opiniones de muy diversos sectores», con el fin de que la ley de calidad «responda a la realidad».

Sobre la polémica surgida en torno a la LOU, Pilar del Castillo insistió en que se están «vertiendo continuas falsedades sobre los objetivos» de la ley de universidades a causa de una «política deliberada de confusión», y pidió «responsabilidad» a la oposición y a cargos institucionales.

La ministra rechazó que la reforma intente privatizar la universidad, que reduzca las becas o que suban las tasas, y retó a que «digan una sola línea» del texto que demuestre estas críticas.

«Se está haciendo una política deliberada de confusión constante, y pediría responsabilidad, porque se pueden tener discrepancias, pero éstas no justifican las acciones irresponsables», y deseó que «haya un esfuerzo en favor del rigor y del sentido común» ante todos los proyectos de reforma del Ministerio.

Sobre los estudiantes que se manifiestan contra la reforma, Del Castillo diferenció entre los que «se movilizan por razones de naturaleza política», es decir, «porque están en contra del Gobierno», y los que protestan por «objetivos universitarios», porque piensan que «se va a privatizar la universidad, que se van a subir las tasas y bajar las becas».

Volver al principio del artículo             Volver al principio de Recortes             Volver al principio

Protestas universitarias con mucha historia

Con la democracia, los estudiantes pasaron de manifestarse por cuestiones sociales a académicas

SUSANA PÉREZ DE PABLOS. MADRID, Diario "El País", lunes 19 de noviembre de 2001.

Algo ha cambiado en el movimiento estudiantil. El proyecto de Ley Orgánica de Universidades del PP ha despertado a los adormecidos colectivos y ha provocado que 200.000 alumnos protestaran en la calle la semana pasada. Un recorrido por la democracia española demuestra que es una situación sin precedentes

Los comienzos de la democracia española y la década de los ochenta estuvieron marcados por ‘un cambio radical en el movimiento estudiantil’, según los análisis de los cronistas de la época, que hizo que ‘las grandes movilizaciones pasaran a formar parte del archivo histórico’, pensaban. La frenética actividad de este movimiento durante el franquismo desarrollada contra asuntos sociales y de derechos humanos, como la pena de muerte, dio paso con la entrada de la democracia a huelgas y manifestaciones contra cuestiones puramente académicas, como la subida de las tasas universitarias, la prueba de selectividad o la entrada de los numeros clausus para el ingreso en los centros universitarios, hoy totalmente asumidos.

En el curso 1975-1976 había 539.022 estudiantes universitarios en España en 26 universidades públicas y cuatro de la Iglesia. Este curso hay casi el triple de estudiantes, 1.499.000 alumnos, en 50 universidades públicas y en 19 privadas y de la Iglesia.

En la primavera de 1976 se produjeron las primeras protestas universitarias después de la muerte de Franco. El 4 de marzo hubo manifestaciones en varias ciudades (como Madrid, Valencia, Málaga, Salamanca y Zaragoza) de profesores no numerarios (PNN), en las que pedían el contrato laboral para acabar con su situación de precariedad. También participaron estudiantes. Eran movilizaciones que aún tenían del telón de fondo de la contestación política. En la de Madrid participaron alrededor de 4.000 personas, según publicaron los periódicos. Las movilizaciones se saldaron con sanciones a estudiantes en Madrid y con un profesor y un alumno detenidos en Universidad de La Laguna.

Las siguientes revueltas estudiantiles, ya en plena democracia y con la Constitución aprobada, sucedieron en 1979 contra la Ley de Autonomía Universitaria (LAU), que no se llegó nunca a aprobar, pero que sí sirvió para desatar el debate sobre la necesidad de una reforma universitaria, que posteriormente se materializó en la aún en vigor Ley de Reforma Universitaria (LRU), de 1983. Los estudiantes se agruparon en la Coordinadora de Enseñanza Media, que rechazó la LAU y el Estatuto del Estudiante. Entre el 26 de febrero y el 3 de marzo de produjo ‘una semana de lucha’ en la que se manifestaron 300.000 estudiantes a lo largo de esos días en toda España, según los convocantes.

El 4 de diciembre de 1984 se produjeron nuevas protestas masivas. Según la prensa de entonces, la huelga general de estudiantes, apoyada por los PNN, tuvo ‘un alto nivel de participación’ con 26 universidades que secundaron el paro. Acudieron a la manifestación de Madrid unos 10.000 estudiantes, según los convocantes. La situación se había disparado ese año con la subida de las tasas en un 14% (pasaron a costar entre 35.000 y 40.000 pesetas), la restricción de las becas y el establecimiento de los numeros clausus en Medicina, ya que en el resto de las carreras estaba considerado ‘ilegal’ no aceptar a todos los estudiantes que las solicitaban. En el curso 1984-1985 había 788.168 estudiantes universitarios en España en 29 universidades públicas y las 4 de la Iglesia.

Las protestas incluían encierros en facultades, manifestaciones que acababan ‘sitiando’ al rector (como le hicieron al de la Complutense, Amadeo Schüller) hasta que llegaba la policía, o simbólicas explosiones de los edificios, como ocurrió en el de Ciencias de la Información de Madrid.

Las universidades más combativas eran las de Barcelona, Bilbao, Cádiz, La Laguna, Madrid y Santiago de Compostela. En Salamanca se manifestaron 5.000 alumnos, según la policía; en Oviedo, 500; en Granada, unos 1.000, y en Madrid, alrededor de 5.000. La huelga fue convocada por una coordinadora creada por los estudiantes que formaban parte de los claustros universitarios. Los enfrentamientos de los manifestantes con la policía se producían en prácticamente todas las protestas y también en ocasiones con colectivos ultraderechistas que acudían con bates de béisbol y alguna que otra navaja.

Ya entrado 1985, los estudiantes crearon una confederación de 30 asociaciones universitarias y de enseñanzas medias para organizar las reivindicaciones y actuar de interlocutores con la Administración. Siguieron las protestas en la calle y los jóvenes esperaban aprovechar la nueva legislación de la Ley Orgánica del Derecho a la Educación (LODE) y de la LRU para establecer en España un movimiento estudiantil estable. Sevilla llegó a sacar 20.000 estudiantes a la calle, todo un hito para la época. Era un movimiento estudiantil de contestación respecto a las expectativas que el Gobierno socialista había generado en educación. Los estudiantes pedían más contundencia en los cambios que los gobiernos afrontaban aún tímidamente.

Volver al principio del artículo            Volver al principio de Recortes             Volver al principio

Enseñar al que no sabe

JOSÉ MARÍA GUELBENZU. Diario "El País", Lunes, 26 de noviembre de 2001

Cada vez es más frecuente encontrar maestros desconsolados. No se trata de penurias laborales, cuestiones de escalafón y otros asuntos por el estilo, sino de pura y simple desolación profesional. Los maestros, los profesores encargados de enseñar a nuestros hijos, están atacados por una suerte de desánimo que ha llevado a muchos a declarar que, si no lo dejan, es porque no encuentran la manera. Es una situación que debería provocar auténtica alarma social, porque se trata de la educación de los jóvenes de este país, pero parece que a todo el mundo se le da una higa, como si considerasen que, en lo que atañe a los jóvenes, éste es un periodo que se pasa por las buenas, lo mismo que el acné. A su vez, los profesores universitarios se quejan de la extraordinaria carencia de cultura general que caracteriza a las nuevas hornadas de alumnos. A lo que parece, estamos construyendo una cadena de errores que comienza en la escuela primaria y culmina en la licenciatura académica. La situación de los maestros, para los cuales enseñar es una profesión deseada o incluso una vocación, es poco menos que heroica. El valor de un maestro es el de su sabiduría y el de la capacidad de transmitirla; se le llama maestro porque sabe, y ese saber le otorga una autoridad; su autoridad proviene de la aceptación de su conocimiento superior; el ejercicio de la autoridad se funda, por tanto, en la transmisión del conocimiento y, de acuerdo con él, la capacidad de decisión a la hora de ordenar el régimen de estudio de los alumnos. No cabe duda de que habrá maestros que se aprovechen de su posición para ejercer el autoritarismo en vez de la autoridad, pero dejemos bien claro que la autoridad no es autoritarismo. La autoridad se basa en el conocimiento; el autoritarismo, en la arbitrariedad en el ejercicio del poder.

Las quejas que yo recibo no provienen de un autoritarismo en quiebra, sino de una vocación frustrada. Y me pregunto por las razones de esta situación de desánimo que está invadiendo a los docentes. Como en todo asunto complejo, supongo que no hay una, sino varias, pero me llama especialmente la atención la que se refiere a la insolencia, cuando no el desprecio explícito, del alumno hacia el profesor. La insolencia es una descarga propia del que se resiste -con razón o sin ella- a someterse a una disciplina. Antes, el frente de disciplina solía ser doble: profesores y padres; más autoritario que otra cosa, pero se repartían las responsabilidades. Ahora, en cambio, parece que el ejercicio de la educación se ha dejado exclusivamente en manos de unos maestros que carecen a menudo del apoyo de los padres, cuando no se ven imprecados por esos mismos padres al intentar meter en vereda al hijo de sus entrañas. ¿Qué ha sucedido para que una sociedad tan autoritaria como era la española hasta la muerte de Franco se haya convertido en esta merienda de negros paterno-filial? Empecemos por los conceptos: no es lo mismo permisividad que tolerancia; el primero es un asunto de debilidad o dejadez; el segundo, de cultura y consciencia. Por alguna razón que se me escapa, hemos pasado -en términos generales- del terror paterno a la permisividad paterna. Y me pregunto si no tendrá que ver con esta transición nuestra, tan modélica para los que identificaban a España con los tercios de Flandes o con un ‘intratable pueblo de cabreros’, y tan liviana, fácil y de diseño para los que se la han vestido como si fuera la oferta de la temporada. En España ha habido mucha gente que ha luchado en serio por la libertad, pero la mayoría se ha limitado a encontrársela a la vuelta de la esquina. Les ha parecido, naturalmente, más atractiva que el autoritarismo, pero para ellos no se ha tratado de una libertad ganada, sino de una libertad que ha venido. La consecuencia es que a todo el mundo se le ha llenado la boca de derechos, pero no tengo tan claro si, además, se les ha llenado también la conciencia de ellos. La autoridad es un problema de conciencia; la boca, de comodidad y oportunismo. La dejación de autoridad sólo lleva a la estupidez o al autoritarismo, nunca a quitarse incordios de encima; incordios tales como la educación de los hijos.

Volver al principio del artículo             Volver al principio de Recortes             Volver al principio

Educación y fundamentalismos

RAFAEL NAVARRO VALLS. Diario "El Mundo", martes 27 de noviembre de 2001.

rganizada por Naciones Unidas, acaba de celebrarse en Madrid la Conferencia Internacional sobre la educación en relación con la libertad de religión y de convicciones, la tolerancia y la no discriminación. Unos 600 representantes de los estados miembros de las Naciones Unidas, de organizaciones intergubernamentales, de comunidades religiosas o de convicciones y un grupo de expertos, han debatido durante tres días acerca de los medios más apropiados para contribuir a la promoción y a la protección de los derechos humanos mediante la reafirmación del papel que debe jugar la educación escolar en el combate contra la intolerancia y la discriminación fundadas en la religión y las convicciones.

La declaración final ha recalcado, entre otros extremos, la necesidad de que los estados establezcan y apliquen políticas educativas que contribuyan a la erradicación de los prejuicios y de concepciones incompatibles con la libertad de religión. Es decir, que garanticen el pluralismo y el respeto a la diversidad en materia de religión y de convicciones. Desde luego, un objetivo importante en la etapa post 11 Septiembre que vive hoy la Humanidad.

Sobre este conflicto coincido con Bercken en que «Dios no viene al caso». Como él mismo observa, aquellas sectas cristianas fundamentalistas que han visto en el ataque al World Trade Center un castigo de Dios a la Torre de Babel del capitalismo, tienen una idea de Dios tan deformada como los pilotos suicidas que, probablemente, gritaron antes del ataque: «Alá es grande». Estoy también de acuerdo con la idea de que, en este combate, ha habido al menos un momento en que se ha hablado correctamente de Dios. Me refiero a la crítica de los musulmanes al uso que Estados Unidos hizo del término Justicia Infinita para calificar la primera etapa de la guerra afgana. Tanto el judaísmo como el cristianismo coincidieron con el islamismo en la idea de que sólo a Dios corresponde administrar la justicia infinita.

Tal vez por eso se ha insistido en la Conferencia de Madrid en que la educación escolar se oriente a ayudar a los alumnos a distinguir el fundamentalismo, que es una enfermedad del alma religiosa, de las creencias sinceras positivas, no marcando con la señal de la sospecha a las personas que mantienen convicciones religiosas profundamente arraigadas. Eso sería una nueva forma de intolerancia, que marginaría del torrente circulatorio de la sociedad a ciudadanos cuya aportación es cada vez más necesaria para los estados.

Efectivamente, hoy se vislumbra el peligro de dos fuerzas contradictorias entre sí, pero ambas igualmente peligrosas para la democracia pluralista y para un Estado que quiera conservar su identidad.La primera, desarrolla en algunos estratos de la población lo que viene denominándose el antimercantilismo moral; la segunda, como reacción ante una conciencia civil vacía de todo valor religioso, está produciendo un renacer de los fundamentalismos.

El antimercantilismo moral se ha definido como el miedo, por parte de las Iglesias y sus adeptos, a entrar en el juego de la libre concurrencia de las ideas y los valores morales, que suele decidirse más allá de los refugios de la decencia moral.Miedo que esconde una desesperanza con respecto a la fuerza atractiva de los valores, de lo que cada uno tiene por bueno.

Al convertirse en una premisa del Estado o, mejor, del aparato ideológico que lo soporta, la idea de que sólo es presentable en la sociedad una religiosidad light, dispuesta a transigir en sus creencias, las personas que mantienen convicciones religiosas profundamente arraigadas son marcadas con la sospecha de la intolerancia, es decir, con el estigma de un latente peligro social. Sospecha que suele llevarles a esa posición, que Tocqueville llamaba la «enfermedad del absentismo», por la que el hombre se repliega sobre sí mismo encerrándose en su torre de marfil, ajeno e indiferente a las ambiciones, incertidumbres y perplejidades de sus contemporáneos, mientras la gran sociedad sigue su curso.

Charles Taylor señala como una de las tres formas de malestar de la cultura contemporánea ese despotismo blando del Estado que convierte, a buen número de ciudadanos, en individuos enclaustrados en sus propios corazones. El Estado pierde así el concurso de un importante estrato de población, empobreciéndose en su propia entidad. De modo que son marginados los sincera y positivamente religiosos, que podrían aportar cosas positivas al torrente circulatorio de la sociedad.

Por fortuna, este estigma bastante difundido comienza a ser desautorizado.Un sondeo Gallup ha venido a desmontar en Estados Unidos el tópico a que vengo refiriéndome. En su análisis estadístico, Gallup ha desarrollado una escala de 12 grados para medir el segmento de población considerado más religioso (highly spiritually commited).Conclusión : «Aunque representan sólo el 13% de la población, estas personas, que podrían ser descritas como aquellas que tienen una fe transformadora, son más tolerantes que la mayoría, más inclinadas al voluntariado social y más preocupadas por la mejora de la sociedad».

Un 83% de los estadounidenses dice que sus convicciones religiosas en la medida que son sinceras les exigen respetar a las gentes de otras religiones. «La firmeza de las convicciones», concluye el informe, «no excluye el respeto a los demás: lo favorece».

No ignoro que esta posición podría ser acusada de «ingenuidad axiológica», si estamos a lo acontecido hace un tiempo con las sectas suicidas de los Adoradores del Sol en Suiza , en la Guayana con los seguidores del reverendo Jones o con los pilotos genocidas de Bin Laden. Pero esto supondría que el Instituto Gallup o yo mismo estuviéramos aquí confundiendo «convicciones sinceras» con fundamentalismo, que es lo que realmente se oculta en los ejemplos enunciados.

Cuando, con una especie de fundamentalismo de la purificación social, se confunden ambas mentalidades y el Estado reacciona intentando arrojar fuera del ámbito de lo público todo valor moral o religioso, entonces es cuando el peligro se torna mayor.Es decir, entonces es cuando el otro fundamentalismo por reacción pasa de ser un peligro latente para el Estado a un peligro efectivo.Por eso me he permitido insistir en los debates de la Conferencia de Madrid en que a cualquier nivel jóvenes sin religión o jóvenes de cualquier confesión una mejor comprensión de los hechos y de las personas sinceramente religiosas contribuirá a la tolerancia y a reducir los sectarismos. En otras palabras, alertar de que «el enemigo del Estado no es la religión sino esa su corrupción que es la teocracia fundamentalista».

Rafael Navarro-Valls es catedrático de la Universidad Complutense.

Volver al principio del artículo             Volver al principio de Recortes             Volver al principio

LLUIS SANTALO : El pedagogo de las matemáticas

CARLOS ELIAS. Diario "El Mundo", jueves 29 de noviembre de 2001.

Existe algo más difícil que las matemáticas? Sí, enseñarlas y que a los alumnos les gusten y las entiendan. En esos dos aspectos destacó Lluís Santaló, Premio Príncipe de Asturias en 1983, fallecido en Buenos Aires a los 90 años tras una larga enfermedad.

Santaló era un matemático excepcional. Entre otros méritos, fue el pionero de la geometría integral, una compleja área de las matemáticas que conjuga la geometría más clásica con el moderno cálculo diferencial. La unión de estos dos campos, en principio tan separados, dio lugar a una revolución importante en esas disciplinas y en otras como el cálculo de probabilidades. Las investigaciones de Santaló fueron muy teóricas, pero como casi siempre, luego han tenido importantes aplicaciones en ingeniería, en ciencias y hasta en medicina.

Por todo ello en 1983 recibió el Premio Príncipe de Asturias de Investigación Científica, en 1996 la Encomienda de Alfonso X el Sabio y la Generalitat de Cataluña le concedió en 1984 la medalla Narcís Monturiol a la Ciencia y la Creu de Sant Jordi en 1994.

Nacido en Girona, se licenció en Madrid en 1934 y se doctoró en 1936. Después se fue a conocer mundo: colaboró en universidades de Alemania, Francia y Estados Unidos, hasta que en 1939 recaló en Argentina donde daba clases Julio Rey Pastor, el matemático español más prestigioso del siglo XX.

Rey Pastor volvió a su cátedra en España, pero Santaló quiso quedarse en Argentina a pesar de que se le hicieron numerosas ofertas para que regresara. «En Argentina he hecho mi vida y ya no puedo irme», contestaba a las reiteradas peticiones, sobre todo de universidades catalanas. Y era cierto: en Buenos Aires se casó y allí vivían sus hijas y sus nietos. También fundó allí una importante escuela de matemáticas y escribió el más famoso de sus 25 libros: Geometría integral y probabilidades geométricas, un clásico por el que estudian alumnos de ciencias e ingeniería de todo el mundo.

Una de sus obsesiones fue cómo paliar la generalizada dificultad para comprender las matemáticas. Para conseguirlo comenzó una línea de investigación que ha supuesto una renovación pedagógica en el campo de la educación en matemáticas y de la que también escribió numerosos libros.

En Argentina llegó a ser presidente de la Academia de Ciencias y su trabajo en la geometría integral fue reconocido en todo el mundo: era miembro de la Academia de Ciencias de Nueva York, de la Royal Statistical Society del Reino Unido o de la Sociedad Internacional de Estereología, entre otras instituciones.

No obstante, nunca perdió el contacto con España. Impartió numerosas conferencias en la Real Academia de Ciencias y en varias universidades.La última vez que visitó su Girona natal fue en 1991 para dirigir el seminario: La matemática: una filosofía y una técnica, pero siempre la recordaba. La Universidad Politécnica de Cataluña lo nombró doctor honoris causa, al igual que la de Buenos Aires, y era miembro del Instituto d'Estudis Catalans.

Los que lo trataron, tras elogiar su brillante actividad investigadora en un área tan dura y poco agradecida, lo describen como «encantador, muy sencillo y que conquistaba con su extrema amabilidad». Los que no le conocieron pero han tenido que enfrentarse con la experiencia de intentar comprender las matemáticas siempre le agradecerán su esfuerzo por hacerlas algo más fáciles.

Lluis Santaló, matemático, nació en Girona en 1910 y falleció en Buenos Aires el 22 de noviembre de 2001.

Volver al principio del artículo             Volver al principio de Recortes             Volver al principio

Evaluación de la Secundaria

Los alumnos españoles de secundaria, entre los peores de los países desarrollados

El 16% de los jóvenes en España llega a los 15 años con dificultades para leer correctamente

JOAQUÍN PRIETO. Diario "El País", París, Miércoles, 5 de diciembre de 2001

Los estudiantes españoles llegan a los 15 años con peores niveles de comprensión de textos escritos, cultura matemática y conocimientos científicos que la media de los países más desarrollados del mundo. Así lo pone de relieve un estudio de la Organización para la Cooperación y el Desarrollo Económico (OCDE) llevado a cabo en 32 países. España se sitúa por debajo de la zona media tanto en lectura y comprensión de lo escrito donde los más fuertes son Finlandia y Canadá- como en matemáticas y ciencias, materias dominadas por japoneses y coreanos, según el informe distribuido ayer por la OCDE.

Un total de 265.000 jóvenes de 15 años han tomado parte en este estudio, denominado Pisa. De ellos, 6.214 eran españoles, una muestra considerada representativa de una población de 399.055 estudiantes de esa edad. La evaluación fue realizada por medio de pruebas llevadas a cabo en mayo de 2000 en 28 de los 30 países miembros de la OCDE, además de otros cuatro que no pertenecen a la organización, pero se han sometido a sus criterios de evaluación. Cada uno de los tres temas estudiados dan origen a un sistema de puntos (véase gráficos) y los mejores resultados corresponden a países de tradición anglosajona o nórdicos, de acuerdo con los criterios aplicados.

La ‘comprensión de lo escrito’ queda definida como la capacidad de comprender textos, evaluar informaciones, construir hipótesis y aprovechar conocimientos. Uno de cada diez de los alumnos interrogados en el mundo alcanzan el nivel máximo previsto por los autores del estudio. Sólo un 5% de los estudiantes españoles entra en esa categoría máxima de lectura y comprensión de lo escrito, un porcentaje muy alejado de países como Australia, Canadá, Finlandia, Nueva Zelanda y Reino Unido, que tienen entre el 15% y el 19% de su población estudiantil en ese nivel alto de lectura y comprensión. Por encima del 12% se encuentran Bélgica, Estados Unidos e Irlanda.

El estudio de la OCDE evalúa en un 18% el total de estudiantes con deficiencias significativas en cuanto a comprensión de lo escrito; España, con el 16%, se aproxima mucho a esa media, que refleja la minoría de alumnos que llegan al fin de la escolaridad obligatoria sin haber adquirido las competencias elementales en lectura para continuar con sus estudios.

Los autores del informe matizan que las pruebas aplicadas no trataban de medir la capacidad de leer correctamente o de no cometer faltas de ortografía, sino de averiguar en qué medida los individuos son capaces de construir, desarrollar e interpretar el sentido de lo que leen. ‘Generalmente pueden leer en la acepción técnica del término, pero encuentran serias dificultades cuando se trata de utilizar la comprensión de lo escrito como un instrumento para adquirir y mejorar conocimientos y competencias en otros terrenos’. Si se añade a esos alumnos incapaces aquellos que no sobrepasan el primer nivel -definido como la capacidad de localizar un fragmento de información, identificar el tema principal de un texto o establecer una correlación simple con conocimientos corrientes- los alumnos en peor situación representan el 18% de media en los países de la OCDE.

Esas dos categorías sumadas suponen el 16% en el caso de España, en este caso por encima de la media y en mejor situación que países como Estados Unidos (18), Italia (19), Alemania (23), Grecia (25) o Portugal (27).

España no está ni mucho menos en el peor puesto de ese nivel elemental de lectura, si bien sí forma parte de los países -con Grecia, México y Portugal- donde se han encontrado los mayores porcentajes de alumnos con dificultades para ‘encontrar la información’, mientras que los españoles son mejores a la hora de ‘reflexionar sobre el contenido del texto’.

En lo que se refiere a la cultura matemática, España se sitúa también por debajo de la media de la OCDE, en la cercanía de países como Alemania, Italia, Portugal o Grecia, para una escala en la que Japón y Corea obtienen los mejores resultados. Los autores del informe advierten de que la evaluación de la cultura matemática ha sido concebida de manera que no desfavorezca a los que no utilizan calculadoras, si bien los alumnos han sido autorizados a usarlas durante la realización de las pruebas. ‘No hay indicación alguna de que la utilización de una calculadora haya podido influir en la prestación de los alumnos en este programa’, asevera una sorprendente nota de este informe.

Los alumnos de Corea, Dinamarca, Rusia, Hungría, Japón, Letonia, Liechtenstein y Suiza obtienen resultados medios relativamente mejores en cultura matemática que en comprensión de lo escrito. Canadá, España, Estados Unidos, Finlandia, Grecia, Irlanda, Italia, Noruega y Suecia se encuentra en el caso inverso.

En cuanto a cultura científica, que mide la capacidad de los alumnos para dominar conceptos científicos, reconocer cuestiones científicas e identificar el objeto de una investigación, relacionar datos con tesis y conclusiones y comunicar aspectos científicos, España se encuentra cerca de la media de la OCDE -por encima de Alemania, Dinamarca, Italia, Grecia o Portugal-, en una escala encabezada por Corea, Japón, Finlandia y Reino Unido.

La desigualdad socioeconómica

Los resultados del programa Pisa muestran que los alumnos de medios socioeconómicos desfavorecidos no son los que obtienen sistemáticamente malos resultados escolares; pero los autores del estudio se ven obligados a reconocer que ‘es uno de los factores que más influyen’ a la hora de alcanzar buenas capacidades de comprensión de textos escritos, cultura matemática y cultura científica. ‘Ofrecer la igualdad de oportunidades a todos los estudiantes, cualquiera que sea su medio familiar, es un desafío político importante’, subraya el informe de la OCDE. Los autores del estudio han creído encontrar indicios de que la riqueza no equivale automáticamente a buenos resultados educativos. ‘El medio familiar de los alumnos no es responsable más que de una parte de las disparidades socioeconómicas de la enseñanza’, dicen. Pero los centros educativos que disponen de más recursos y que aplican políticas y prácticas asociadas a los mejores resultados ‘tienden a ser frecuentados por alumnos procedentes de los medios más favorecidos’. En fin, en estos comienzos del siglo XXI, la OCDE descubre que ‘en los países donde se observa una gran segregación socioeconómica, los alumnos procedentes de medios socioeconómicos desfavorecidos muestran un rendimiento inferior. Esta comprobación indica que una cierta parte de la desigualdad de los resultados está asociada a la desigualdad de oportunidades’, lo que plantea el problema de la infrautilización de la ‘reserva de talentos’. En todo caso, la organización internacional promete ocuparse más a fondo de estos problemas a lo largo de informes, y apunta que un gasto medio elevado por estudiante está asociado a ‘resultados medios elevados’ en los tres terrenos educativos estudiados, pero ‘no los garantizan’, puntualiza. El estudio ha encontrado grandes diferencias de puntos de vista sobre la adhesión de los alumnos al sistema escolar. En 20 de los países examinados, más de un estudiante de cada cuatro estima que el colegio es un lugar al que no quieren ir. La proporción más alta entre los reacios a la escuela está, curiosamente, en Bélgica: 42%. A continuación se sitúan Canadá, Francia, Hungría y EE UU. Otro factor que influye poderosamente en los buenos resultados escolares tiene que ver con la moral de los profesores y con una disciplina satisfactoria en las clases. En Alemania, Bélgica y Luxemburgo, muchos profesores especializados trabajan en los centros más privilegiados. El clima de disciplina parece poco favorable en los centros ‘donde los efectivos presentan un estatus socioeconómico más elevado, muy particularmente en España, EE UU, Italia, Japón o Reino Unido’.

Volver al principio del artículo             Volver al principio de Recortes             Volver al principio

Evaluación de la Secundaria II

El estudio revela que los chicos son más reacios a la lectura que las adolescentes

En España el porcentaje de alumnos con problemas de comprensión de texto duplica al de chicas

JOAQUÍN PRIETO. Diario "El País", París, Miércoles, 5 de diciembre de 2001

Placer y obligación

Los autores del informe se confiesan en dificultades para establecer las causas de las situaciones reveladas por preguntas que tienden a averiguar cómo se ven a sí mismos los estudiantes o qué imagen desean proyectar a los demás. El 40% de los estudiantes del sexo masculino, por ejemplo, dice que no toma un libro salvo que se vean obligados a ello; mientras que las chicas se muestran mucho más favorables a la lectura por placer, e incluso el 45% del total de las interrogadas en el conjunto de la muestra dicen que hacen de ello una de sus ocupaciones favoritas. Entre los estudiantes masculinos que leen de buen grado se encuentran los lectores de periódicos o usuarios de Internet, mientras que las chicas se inclinan mucho más a sumergirse en las obras de ficción.

Por el contrario, los alumnos masculinos tienen tendencia a obtener mejores resultados que las alumnas en cultura matemática, aunque aquí la diferencia es sensiblemente menor. Esto se debe en gran parte al hecho de que los estudiantes varones son más numerosos entre las categorías globales de los mejores alumnos. Los que obtienen malos resultados se reparten más o menos por igual entre chicos y chicas. En materia científica, las diferencias son más pequeñas y los autores del estudio creen que se pueden hablar de una tendencia a que desaparezcan entre los países.

Dado que este programa de la OCDE tiene por objeto evaluar la medida en que los alumnos llegan al final de la enseñanza obligatoria en posesión de los conocimientos y las calificaciones requeridas para jugar su papel en la sociedad, además de estudiar la actitud de los jóvenes de cara al aprendizaje y la forma en que lo abordan, merece la pena reproducir algunas de las conclusiones del informe respecto a la diferencia entre sexos: ‘A lo largo de estos últimos años, los sistemas de enseñanza han franqueado pasos importantes en el camino de la reducción de las diferencias del nivel de enseñanza entre mujeres y hombres, pero queda mucho por hacer. A los 15 años, numerosos alumnos consideran la transición entre la escuela y el mundo del trabajo como un aspecto importante de su vida futura. Sus resultados escolares, su motivación y sus actitudes en relación con esas materias pueden tener una influencia significativa para sus recorridos escolar y profesional. Esos recorridos condicionarán, a su vez, no sólo sus carreras individuales y sus posibilidades salariales, sino también, en un marco más amplio, la eficacia con que se desarrollan y explotan los recursos humanos en las economías y las sociedades de la OCDE’.

Igualdad

‘Suscitar el compromiso de los alumnos del sexo masculino en relación con la lectura y estimular el interés de las alumnas por las matemáticas son otros tantos objetivos políticos que deben convertirse en prioritarios, para conseguir una mayor igualdad entre los sexos, en términos de escolaridad’, concluye el informe.

Volver al principio del artículo             Volver al principio de Recortes             Volver al principio

Reformar la educación secundaria

Editorial. Diario "El Mundo", miércoles 5 de diciembre de 2001.

i, como bien dijo Kant, «el hombre no es más que lo que la educación ha hecho de él», los españoles tenemos motivos para estar preocupados. Un informe elaborado por la OCDE en 31 países ha puesto de manifiesto las limitaciones intelectuales de nuestros quinceañeros, que carecen de un nivel de conocimiento aceptable tanto en literatura como en ciencias y matemáticas. En la primera disciplina, ocupan el lugar número 18 de la tabla de países, en la segunda, el 19, y en la última un preocupante número 23, quedando en las tres categorías por debajo de la media. Estos datos ponen en tela de juicio la eficacia de nuestro sistema de enseñanza escolar. La oposición suscitada por la LOU no debería desanimar al Gobierno, que haría bien en tomar la reforma de las Humanidades como punto de partida para llevar a cabo una transformación global de la educación secundaria, que mejore la calidad docente y que inculque en las jóvenes generaciones una mayor curiosidad intelectual.

Volver al principio del artículo             Volver al principio de Recortes             Volver al principio

El PSOE dice que falta presupuesto y hay mala gestión

MADRID. Diario "El Mundo", miércoles 5 de diciembre de 2001.

El PSOE recordó ayer al Gobierno que es «responsable» de los resultados educativos de los escolares, tras conocerse el de la OCDE. La responsable de la Ejecutiva socialista en materia educativa, Carmen Chacón, indicó a Efe que «el Gobierno lleva seis años gestionando de forma desastrosa la Educación y mermando los presupuestos».

Chacón criticó la «obsesión del Ejecutivo por cambiar las leyes y por el Boletín Oficial del Estado», cuando el informe de la OCDE revela que hay países como Alemania, con un sistema dual, que no obtienen buenos resultados, mientras que otros como EEUU, con modelos educativos más «globales» salen mejor parados.

Por ello, Carmen Chacón pidió al Ministerio de Educación que se «acerque a las aulas», en vez de «obsesionarse» con las reformas, y que ofrezca recursos materiales, humanos y un modelo de autonomía y autogestión en los centros educativos.

En la misma línea, la portavoz socialista de Educación en el Congreso, Amparo Valcarce, destacó que hay seis países desarrollados, con sistemas educativos muy diferentes entre sí, que tienen problemas parecidos a España, lo que a su juicio revela que no es una cuestión de «modelo», sino de «calidad de la educación».

Volver al principio del artículo             Volver al principio de Recortes             Volver al principio

El 91% lee por obligación

Además de no tener interés por la lectura, las matemáticas siguen siendo el escollo de los escolares

CRISTINA FRADE. Corresponsal. PARIS. Diario "El Mundo", miércoles 5 de diciembre de 2001.

España no sale precisamente favorecida en el retrato elaborado por la OCDE sobre los resultados educativos de los alumnos. En los tres principales indicadores (comprensión de un texto escrito, cultura matemática y científica) nuestro país aparece clasificado dentro del grupo con resultados «significativamente inferiores» a la media.

En comprensión de un texto escrito, los estudiantes españoles obtienen una media de 493 puntos (la media de la OCDE es 500), lo que les sitúa en el mejor de los casos en el puesto 18 del ránking (sobre 31) y en el peor en el 23.

Sólo un 4% de los alumnos alcanza el máximo nivel de comprensión (la media es un 10%). En cambio, como dato positivo, los jóvenes españoles que ni siquiera alcanzan el nivel más bajo de comprensión sólo representan un 4% (frente a una media del 6%).

En la encuesta, un 32% de los alumnos asegura no leer nunca por gusto un resultado similar al de Italia y Francia y sólo un 9% dedica entre una y dos horas al día a lecturas no impuestas por sus estudios.

La afición a la lectura y el rendimiento escolar no van siempre de la mano: el estudio revela que hay países con ávidos lectores y mediocres resultados educativos y a la inversa, como es el caso de Japón, donde un 55% no lee por gusto, pero que se encuentra muy por encima de la media en todos los indicadores.

Los estudiantes españoles obtienen resultados aún más decepcionantes en matemáticas: una media de 476 puntos. Nuestro país figura en el grupo donde los chicos aventajan claramente a las chicas (18 puntos por delante del promedio). En cambio, no hay diferencia significativa entre los sexos en lo que respecta a la cultura científica, donde nuestros jóvenes consiguen una media 491 puntos, lo que les sitúa en el puesto 19.

España aparece entre los países donde hay menos diferencias de resultados según la situación familiar de los alumnos: 68 puntos frente a países donde el contexto familiar tiene más peso como Suiza (115) o Alemania (113).

El informe pone de manifiesto igualmente escasas diferencias entre centros educativos (20 puntos), pero sí mucho mayores dentro de un mismo centro (60 puntos).

El estudio de la OCDE confirma que un gasto medio por alumno elevado está asociado generalmente a un resultado medio elevado, pero no lo garantiza. Italia, por ejemplo, gasta casi el doble que España en educación (60.000 dólares) y sus resultados son inferiores. A la inversa, Corea, Irlanda y la República Checa gastan menos de 30.000 dólares y obtienen resultados mejores.

Volver al principio del artículo             Volver al principio de Recortes             Volver al principio

Los estudiantes españoles de 15 años, entre los que menos saben del mundo desarrollado

En matemáticas ocupan el puesto 23 de 32 países

JUAN FORNIELES. MADRID. Diario "El Mundo", miércoles 5 de diciembre de 2001.

Los quinceañeros españoles no destacan precisamente por sus habilidades intelectuales. En una encuesta realizada por la Organización para la Cooperación y el Desarrollo Económico (OCDE) a 265.000 estudiantes de 32 países, los españoles ocupan los lugares 18, 23 y 19 en el ranking de conocimientos de literatura, matemáticas y ciencias, respectivamente.

El estudio, en el ámbito español, es el resultado de una investigación realizada en 185 escuelas con 4.612 escolares.

Los alumnos encuestados respondieron a preguntas y problemas de tres materias distintas.

El Programa Internacional para la Producción de Indicadores de Resultados Educativos de los Alumnos (PISA, según sus siglas inglesas) que lleva a cabo la OCDE ha puesto de manifiesto que los jóvenes de 15 años finlandeses son los mejor preparados.Los fineses son número uno en cuanto a su capacidad de leer y escribir (literatura), ocupan el tercer puesto en ciencias y la cuarta plaza en matemáticas.

Si se toman como referencia la aritmética y las ciencias, los asiáticos barren con sus conocimientos. Japón lidera el apartado de las matemáticas, seguida de Corea del Sur. En el campo científico, las posiciones son inversas, primero están los coreanos, después los nipones.

Otros países que salen muy bien parados en la comparativa son Nueva Zelanda (tercera en literatura y matemáticas; sexta en ciencias) y Australia, que se ha situado en el cuarto, quinto y séptimo puesto.

Brasil, en la cola

Si se buscan los peores estudiantes, los resultados apuntan a tres estados: Luxemburgo, México y Brasil. Sus respuestas lo han colocado en los lugares 29, 30 y 31, respectivamente. Quien tampoco sale bien parado es Portugal. El mejor ratio de los lusos es un 26 en literatura.

Los resultados de este estudio, que fue presentado ayer en París, resaltan que el 18% de los alumnos de 15 años de los países desarrollados tiene problemas de comprensión escrita. El 6% de estos escolares está por debajo del índice mínimo en comprensión escrita, y un 12% tiene «serias lagunas» en el aprendizaje necesario «para continuar sus estudios».

Del total de alumnos evaluados, sólo el 10% alcanza el nivel máximo en comprensión escrita, siendo capaces de «entender textos complejos, evaluar informaciones y construir hipótesis», informa Efe.

«Ningún factor explica por si solo por qué los centros escolares de algunos países obtienen mejores resultados, pero ciertas políticas y practicas educativas están ligadas al éxito», dice el estudio, que señala tres factores: «La utilización que hacen los alumnos de los recursos del colegio, la presencia de educadores especializados y el papel de las escuelas».

Con respecto al nivel de las preguntas, algunos ejemplos como el siguiente se pueden consultar en www.pisa.oecd.org: «Una pizzería sirve dos pizzas del mismo grosor pero de diferentes tamaños.La más pequeña tiene un diámetro de 30 centímetros y cuesta 30 zeds. La más grande tiene un diámetro de 40 centímetros y cuesta 40 zeds. ¿Qué pizza tiene la mejor relación con respecto al precio? Razona la respuesta».

El objetivo principal de este estudio, según la OCDE, es la búsqueda de unos indicadores del rendimiento de los alumnos que sirvan para reflexionar en torno a la eficacia y la eficiencia de sus sistemas educativos. Esta organización, además, considera que estos resultados sirven para «rendir cuentas a los ciudadanos sobre el estado y la gestión de la educación».

La realización del Proyecto PISA en España ha corrido a cargo del Instituto Nacional de Calidad y Evaluación (INCE), bajo la supervisión del doctor en Psicología Guillermo Gil Escudero.

Además de en España, el estudio se ha realizado también en Finlandia, Canadá, Nueva Zelanda, Australia, Irlanda, Corea, Reino Unido, Japón, Suecia, Austria, Bélgica, Islandia, Noruega, Francia, Estados Unidos, Dinamarca, Suiza, República Checa, Holanda, Italia, Alemania, Liechtenstein, Hungría, Polonia, Grecia, Portugal, la Federación Rusa, Letonia, Luxemburgo, México y Brasil. Holanda no se ha visto reflejada en las conclusiones finales del estudio por «problemas técnicos», según la OCDE.

A la luz del estudio, la secretaria General de Educación, Isabel Cousso, reconoció ayer que los resultados en España «confirman las evidencias y avala la necesidad de un cambio de rumbo». A su juicio, estos resultados «preocupantes» no se corresponden con los recursos y la dedicación de los docentes.

Volver al principio del artículo             Volver al principio de Recortes             Volver al principio

Evaluación de la OCDE sobre la secundaria

Un 20% de los alumnos españoles no alcanza el nivel mínimo en matemáticas

Los estudiantes de 15 años en España destacan únicamente en el análisis de textos

JOAQUÍN PRIETO. Diario "El País", París, Jueves, 6 de diciembre de 2001

El 20% de los alumnos españoles de 15 años no alcanza el nivel mínimo en matemáticas, frente a un 9% con un alto nivel, muy lejos de japoneses, coreanos, belgas, canadienses, australianos, finlandeses, franceses, suizos o británicos, todos ellos por encima del 18%. Así lo indican los resultados del programa Pisa, llevado a cabo por la OCDE en 32 países. Si se suma este dato a los avanzados ayer respecto a la comprensión de textos escritos -4% de estudiantes españoles muy buenos frente a un 42% de malos o muy malos- se completa el panorama de resultados alcanzados a los 15 años de edad.

Las familias saben que un mal rendimiento escolar suele conducir al abandono de los estudios por falta de competencias básicas. ‘Cuando la proporción de alumnos es muy elevada en las partes más bajas de la escala de comprensión de lo escrito, esto indica que una gran parte de la población activa y de los electores de mañana no tendrán las competencias requeridas para pronunciarse con pleno conocimiento de causa’, argumentan los autores del informe de la OCDE.

El problema de España no se limita a un resultado global por debajo de la media en el dominio del idioma, sino a la abundancia de estudiantes poco competentes. Es verdad que la presencia de italianos y alemanes en niveles similares contribuye a paliar psicológicamente el desastroso efecto de los resultados hispánicos. Los estudiantes españoles de secundaria son mejores cuando se trata de ‘analizar el contenido del texto’ que a la hora de ‘buscar la información’ o ‘identificar los grandes temas de un texto escrito’, tendencias estas últimas compartidas con austriacos, canadienses, irlandeses, portugueses y británicos.

Las dificultades de los quinceañeros españoles en matemáticas y cultura científica parecen un mal punto de partida para dominar un mundo cada vez más penetrado de ciencia y tecnología. En las pruebas, los españoles obtuvieron 476 puntos de media en la escala de cultura matemática, que va de 334 (Brasil) a 557 (Japón). De cada cien estudiantes españoles analizados, veinte son muy malos en matemáticas, entendiendo por tales los que no llegaron a 400 puntos; y sólo pueden considerarse muy buenos nueve de cada cien, considerando como tales a los que lograron más de 600 puntos en esa escala. El resto constituye la medianía mayoritaria.

Para redondear la idea: España y Letonia están igualadas en porcentaje de alumnos buenos en matemáticas. Para encontrar porcentajes más bajos que el español hay que referirse a Grecia, Italia, Portugal, México o Brasil.

¿Qué relación existe entre la inversión realizada en la educación y los resultados de la evaluación realizada por la OCDE? Los expertos que pululan por la sede parisiense de esta organización reconocen que cuanto más elevados son los gastos por estudiante suelen registrarse mejores resultados en las tres áreas estudiadas (comprensión de textos escritos, cultura matemática, cultura científica); pero insisten en que ‘no lo garantizan’.

Los gastos realizados en la enseñanza obligatoria de España suponen una media acumulada de 36.699 dólares (6,9 millones de pesetas) por estudiante durante la secundaria. Por lo tanto, son inferiores a la media de la OCDE, que es de 43.520 dólares (8,1 millones de pesetas) por estudiante (los datos utilizados para el estudio corresponden a 1998 para hacer más homogénea la comparación internacional). Pero también los resultados conseguidos por la educación en España se encuentran por debajo de la media de la OCDE en los tres terrenos analizados (lengua, matemáticas, ciencias), de modo que el relativo fracaso cosechado puede considerarse, más o menos, en línea con la inversión.

Sin embargo, países como Irlanda y Corea consiguen resultados educativos mucho mejores, con niveles de gasto similares a los de España. ‘Estos casos prueban que unos gastos elevados por estudiante no garantizan altos resultados en las tres áreas estudiadas por el programa Pisa’, comenta Andreas Schleicher, experto de la división de educación de la OCDE.

Los 30.844 dólares (5,8 millones de pesetas) por alumno gastados en Corea la sitúan entre los sistemas más eficientes del mundo: primero en cultura científica, segundo en cultura matemática y sexto en comprensión de lo escrito, siempre según los criterios utilizados por la OCDE. En el contexto europeo, Irlanda gasta un poco menos que España por estudiante y obtiene el quinto puesto mundial en comprensión de la escritura y el noveno en cultura científica.

Volver al principio del artículo             Volver al principio de Recortes             Volver al principio

Los padres coinciden en que la educación pasa un periodo crítico

C. M. Diario "El País", Madrid Jueves, 6 de diciembre de 2001

Los datos sobre secundaria del informe de la OCDE no han sorprendido en absoluto a los padres de alumnos. Tanto la Confederación laica de padres (Ceapa), como la católica (Concapa) coinciden en que la educación pasa un periodo crítico, pero no se ponen de acuerdo en la solución, ni siquiera en las causas.

La presidenta de la Ceapa, Eulalia Vaquero, ve en los problemas una relación directa con el gasto que se dedica en España a la educación. ‘En gasto también estamos a la cola. Y la escuela no puede hacer milagros’. Vaquero propone que se revise el sistema educativo desde primaria. Critica la reforma del Gobierno y le acusa de no favorecer ‘la innovación pedagógica. ‘La formación inicial y permanente del profesorado’, así como el ‘uso consolidado de las nuevas tecnologías’ son, a su juicio, otras dos asignaturas pendientes. Cree además que ‘no se está enseñando a los niños a pensar’ y ‘que hay demasiadas asignaturas y conocimientos fragmentados’.

La Concapa, confederación de padres católicos, confía en la futura Ley de Calidad del Gobierno. Su presidente, José Manuel Contreras, no cree que la clave esté en los recursos económicos ni humanos ‘porque Italia dedica el doble de recuros a educación y están por detrás de España en el informe de la OCDE. ‘Hay que fomentar valores instrumentales como el esfuerzo, la disciplina y la autoridad del maestro. Sólo a través de estos se llega a los valores finalistas como la tolerancia o la solidaridad’, añade.

‘Con la educación no se puede ser muy radical, hay que ver el caso de cada niño y observar lo que ocurre en las aulas y dejarse de demagogia y de política’, concluye.

Volver al principio del artículo             Volver al principio de Recortes             Volver al principio

Sindicatos y oposición culpan al Gobierno de los malos resultados

Del Castillo asegura que sus reformas ‘van en la dirección adecuada’

M. AGUIRREGOMEZCORTA. Diario "El País", Madrid Jueves, 6 de diciembre de 2001

‘El informe de la OCDE no dice nada que no se supiera antes’, coincidieron en señalar ayer PSOE e IU, que advirtieron que es necesario revisar el sistema educativo, incidiendo en la formación del profesorado y en una nueva metodología de enseñanza. ‘El Gobierno es el responsable de esta situación ya que ha mareado la cuestión dirigiendo el problema en dirección equivocada y abriendo la polémica de la reforma de las humanidades, que no sirvió para nada’, señaló la portavoz de Educación del PSOE en el Congreso, Amparo Valcarce. Y apuntó que hay que ‘dedicar más tiempo a las matemáticas y a la lengua, y hacer hincapié en la lectura’.

Algo en lo que también insistió la portavoz de Educación de IU en el Congreso, Marisa Castro. ‘Este informe tiene que servir para decirle al Ministerio de Educación que sus reformas no están sirviendo para nada’, dijo. ‘La escuela tiene que ser un formador integral. No creo que nuestros alumnos sean menos capaces, sino que falla la metodología’, añadió.

La ministra de Educación, Pilar del Castillo, reconoció ‘los déficits formativos y de aprendizaje’ de los alumnos e insistió en que la orientación de las reformas que se están desarrollando van ‘en la dirección adecuada’. La ministra recordó además que el Gobierno ha reformado los contenidos mínimos de secundaria para fomentar las matemáticas y la lengua.

Los sindicatos CC OO y UGT criticaron la carencia de recursos económicos y humanos para solucionar los problemas educativos. ‘El ministerio ha utilizado este informe para intentar ocultar su total falta de iniciativa política y de apoyo al profesorado, que no sólo no corrige la actual situación sino que contribuye a empeorar con su actitud’, señaló el secretario general de la federación de enseñanza de CC OO, Fernando Lezcano.

El secretario general de la federación de enseñanza de UGT, Jesús Ramón Copa, explicó que los profesores son, salvo excepciones, ‘tan víctimas como los alumnos’ del fracaso escolar. La solución ‘no es sólo buscar la excelencia sino que avancen todos’, añadió y pidió un debate amplio para acometer la reforma en la educación secundaria.

Volver al principio del artículo             Volver al principio de Recortes             Volver al principio

Sólo dos universidades cubren las plazas reservadas a alumnos de otras comunidades

El primer año del distrito abierto choca con la escasa cuantía de las becas, según los rectores

SUSANA PÉREZ DE PABLOS. Diario "El País", Madrid Viernes, 7 de diciembre de 2001

El primer año de implantación del distrito abierto en España ha tenido escaso éxito. Únicamente dos de las 47 universidades públicas presenciales (la Complutense y la Politécnica de Madrid), han cubierto el mínimo de las plazas (un 20%) que los centros debían ofrecer a los alumnos de otras comunidades. Este dato es reflejo de una situación general igualmente preocupante: sólo el 7% (19.500) de los 278.000 estudiantes que han empezado este año la carrera se han marchado a estudiar a una comunidad autónoma distinta a la suya, según el Consejo de Universidades. Para los rectores, estos resultados se deben a la escasa cuantía de las becas y a la falta de una campaña informativa.

Las universidades acogieron el primer año de implantación del distrito abierto con buenas expectativas. Más allá de la reserva del 20% de plazas establecida como mínimo legal para los alumnos de otras comunidades, llegaron a ofrecer el 45% de sus plazas. Los alumnos, sin embargo, no se sintieron tan atraídos. De hecho, 37 universidades no han llegado a cubrir ni el 10% de sus reservas.

La normativa señala que el curso próximo deben ofrecer todas el 50% y que en el 2003-2004, el 100%. Pero siete universidades han abierto ya este curso a los alumnos de toda España todas sus plazas: las cuatro de Castilla y León, así como Vigo y la Politécnica de Cartagena. Han ofrecido sólo el mínimo del 20% de plazas 14 universidades: Almería, Cádiz, Málaga, Pablo Olavide de Sevilla, Jaume I de Castellón, Miguel Hernández de Elche y las siete universidades catalanas.

Las dos universidades que han asignado más del 20% de sus plazas a estudiantes de otras comunidades ofrecieron un porcentaje mucho más alto: la Complutense abrió el 76% de sus plazas al distrito abierto y la Politécnica de Madrid, el 60%.

El distrito abierto fue aprobado en 2000 por el entonces ministro de Educación, Mariano Rajoy, y desde entonces este ministerio ha abanderado la ‘movilidad’ como una de las prioridades de su política educativa: ‘Es un factor importante de estímulo de competitividad del sistema universitario’, señaló la ministra de Educación, Pilar del Castillo, en la presentación de las becas de movilidad para este curso.

Todos los sectores de la comunidad educativa están a favor del distrito abierto, pero los rectores han advertido reiteradamente de que existían básicamente tres problemas para que funcionara: los requisitos económicos que se piden a las familias para poder acceder a ellas, la baja cuantía de las ayudas y la falta de una amplia campaña de información para estudiantes y familias. Además, las universidades han advertido que otro factor que desanima a los alumnos es la dificultad para mantener la beca en algunas titulaciones, debido a los requisitos académicos. Por ejemplo, en algunas carreras técnicas, los requisitos no están adaptados a los resultados anuales de la mayoría de los alumnos.

La ministra de Educación, Pilar del Castillo, anunció en la presentación de las becas de movilidad de este curso que se habían editado 450.000 folletos divulgativos. Sin embargo, no parece haber sido suficiente.

La cuantía de las ayudas de movilidad oscila entre 216.000 pesetas por curso académico y las 511.000 si el umbral de renta no supera los 3.414.000 para una familia de tres miembros y 4.076.000 pesetas para una familia de cuatro miembros. Y pueden llegar a un máximo de 725.000 pesetas, si el estudiante pertenece a una familia de tres miembros que no gane más de 1.050.000 pesetas y una de cuatro, si no ingresa más de 1.405.000 pesetas. En las becas de movilidad que ofrece el ministerio (que anunció que se darían a 75.000 estudiantes) también están incluidas las destinadas a estudiantes del segundo ciclo de las titulaciones (los dos últimos cursos de las licenciaturas e ingenierías).

Los resultados del distrito abierto no son comparables con los del anterior distrito compartido, donde se podían ofrecer 10 plazas como máximo por titulación a estudiantes de otras comunidades. Además, la gestión del distrito compartido se hacía de forma centralizada por lo que no podía ser admitido un estudiante en más de un distrito universitario (una o varias universidades que comparten un mismo sistema de acceso con una oferta de plazas conjunta).

Con el distrito abierto, un alumno puede pedir plaza en varios distritos universitarios, lo que permite que se le pueda admitir en más de uno, por lo que al final puede incrementarse mucho el sobrante de plazas. Este fenómeno es conocido como ‘caída de matrícula’. Aún así, con el distrito compartido se cubría casi el 50% de las plazas ofrecidas.

Volver al principio del artículo             Volver al principio de Recortes             Volver al principio

El nivel de los alumnos

Diario "El País". Domingo, 9 de diciembre de 2001

Un reciente informe de la Organización para la Cooperación y el Desarrollo Económico (OCDE) ha reactivado el debate sobre el nivel de los alumnos españoles de educación secundaria. Las conclusiones del programa Pisa, realizado en 32 países, señalan que los estudiantes españoles de 15 años están por debajo de la media en matemáticas y lectura, así como que uno de cada cinco no alcanza el nivel mínimo en matemáticas y que sólo el 9% llega al máximo. Sin embargo, su puntuación en el análisis de textos es satisfactoria. Estos resultados se han hecho públicos cuando el Gobierno está a punto de dar a conocer el primer borrador de su Ley de Calidad, con la que pretende reformar esta etapa educativa.

La crisis en la educación secundaria es general en la mayoría de los países desarrollados. Lo que los alumnos necesitan aprender hoy en día no es, en muchos aspectos, lo que los profesores están en condiciones de enseñar. Los datos de España no son buenos, pero las comparaciones deben tomarse con prudencia, porque los sistemas son distintos y no siempre coinciden los objetivos docentes en cada tramo de edad. Y porque más importante que los datos en sí es la tendencia en el tiempo. A mediados de los noventa, en las pruebas de matemáticas España estaba mucho más atrás que ahora, sólo por delante de Grecia y Portugal.

El aumento de la edad de la escolarización obligatoria de los 14 a los 16 años -un avance imprescindible introducido en 1990 con la aprobación de la LOGSE- ha provocado no pocos problemas en la educación secundaria obligatoria, al prolongar la permanencia en las aulas de escolares que no quieren estudiar. Ello influye en la valoración final, que de todas formas es mejor en conjunto que las de países como Italia o Alemania. Datos preocupantes son el alto índice de puntuaciones mediocres y el escaso número de estudiantes situados en un nivel excelente. Otro problema es el desajuste entre lo que aprenden los niños españoles y su capacidad para aplicarlo.

La reforma de la educación secundaria obligatoria (ESO) que quiere hacer el Gobierno con la Ley de Calidad establece la división de los alumnos a los 14 años en tres itinerarios según su rendimiento: uno hacia el bachillerato, otro hacia la formación profesional y un tercero para los que vayan a abandonar el sistema educativo al final de esta etapa. Los resultados del estudio más bien cuestionan la conveniencia de una separación tan temprana del alumnado, sistema aplicado en Alemania con resultados bastante bajos. Por otra parte, es conocida la influencia de los factores socioeconómicos en el resultado de los alumnos, factor que el estudio recuerda. Es verosímil suponer que una separación de los alumnos por rendimiento al inicio de la adolescencia recortará aún más la posibilidad de que la enseñanza misma sea un factor que palie los efectos de las diferencias sociales en su formación.

Las reformas del marco legal deberían ser consecuencia de una idea clara sobre los problemas de la enseñanza. El estudio de la OCDE -realizado con una muestra de más de 250.000 estudiantes- aporta algunos síntomas, pero dista de ser un diagnóstico preciso. Y la experiencia indica que, por bien intencionados que puedan ser los cambios que se planteen, sin un apoyo decidido (en formación y recursos) del desmotivado profesorado, sin un aumento considerable de la inversión en educación secundaria (España ocupa uno de los últimos puestos en gasto por alumno de la UE) y sin programas dirigidos a fomentar la implicación de las familias en los centros, será difícil que las reformas solucionen los problemas.

Volver al principio del artículo             Volver al principio de Recortes             Volver al principio

linea.gif (922 bytes)
Vivat Academia, revista del "Grupo de Reflexión de la Universidad de Alcalá" (GRUA).
REDACCIÓN
Tus preguntas y comentarios sobre este Web dirígelos a vivatacademia@uah.es
Copyright © 1999 Vivat Academia. ISSN: 1575-2844.  Números anteriores. Año IV
Última modificación: 25-12-2001