Docencia e Investigación
Arriba Último Nro. Índice Nros. Anteriores Índices Históricos

ISSN: 1575-2844

Revista Vivat Academia

 Histórico Año IV

linea.gif (922 bytes)

Mayo 2002. Nº 35

Contenido de la sección:

Para Mayo (Benjamín Hernández Blázquez)
Resolución de las ecuaciones en diferencias (Arturo Pérez París y Julio Gutiérrez)
1. Introducción
2. Soluciones de las ecuaciones en diferencias lineales no homogéneas de orden k
3. Teorema de existencia y unicidad para valores iniciales
4. Métodos de resolución abreviados de las ecuaciones en diferencias: El polinomio característico
4.1. Ecuaciones de primer orden con coeficientes constantes
4.2. Caso de las ecuaciones inhomogéneas con coeficientes constantes
4.3. Uso del método del anulador o polinomio característico para ecuaciones inhomogéneas
5. Ecuaciones de orden superior con coeficientes constantes
6. Generalización del método del polinomio característico en la búsqueda de soluciones de una ecuación inhomogénea con coeficientes no constantes
7. Resumen del método del polinomio carácterístico
8. Conclusión
RECORTES
Los españoles creen que la educación ha mejorado, pero que falta disciplina
España suspende en gasto, nivel educativo y maestros de apoyo
Birulés dejó de pagar el 70% del dinero presupuestado para ciencia en 2001
Los impagos del Gobierno dificultan la proyección exterior de la ciencia española
El Ministerio de Ciencia atribuye sus impagos a la llegada del euro
Una veintena de personalidades recuerdan en un libro a su mejor maestro
Aznar afirma que ‘muchos profesores están amenazados’ y pasan ‘miedo’

Para Mayo

Benjamín Hernández Blázquez. Universidad Complutense de Madrid.

Las postreras jornadas de abril se extinguen y configuran previsiones meteorológicas multivariadas; atrás quedó el veranillo de las lilas que suele traer una subida de temperaturas coincidiendo con la floración de este arbusto, y que este año se ha extrapolado al mes siguiente.

Desde san José Obrero hasta santa Mónica, el mes de mayo reparte sus 31 días; los castellanos lo tildan como el más largo del año. Ninguno se asocia a un paradigma como mayo a las flores; su simbiosis, reflejada en la literatura, ha sido total: "lino bueno y campo malo, todo florece en mayo". Por todo, como si de la paleta de un pintor se tratara, el campo de la Comunidad de Castilla-León, inscrito en los 2.424 Km. de contorno, se ahíta de colores exhibiendo a los sentidos las pródigas versatilidades de la naturaleza convertidas ahora en una noria oscilante de colores: "toro y gallo, trucha y barbo todo en mayo".

En los casi 53.000 km2 de superficie de Castilla y León que están situados entre 600 y 1.000 m de altitud, se detecta una explosión de vida y vitalidad, que se abre paso entre navas y alcores, herrenes y algabas. Los días que se presentan cada vez más largos, una vez vencida la inercia equinocial, iluminan los rincones del territorio regional, que con sus 94.193 km2 de extensión total sigue siendo la mayor de las 206 comunidades autónomas de la Europa de los Quince.

En este tramo no existe silencio en el campo, es el orto de la fertilidad, casi es posible oír diariamente el florecer de los cultivos. Las especies protegidas: oso pardo, cigüeña negra, águila imperial y lince ibérico son actores distinguidos; los conejos juegan cerca de sus madrigueras, los lagartos abandonan sus huras y a los abejarucos, posados en las ramas, se los confunde con frutos por el brillo de su plumaje. El campo cambia cotidianamente y una semana no se reconoce en la siguiente: árboles, arbustos y flores brotan con fruición y cubren con sus hojas los oscuros tallos que durante los meses del longevo invierno han estado dormidos.

En Salamanca la temperatura media referido al último periodo estándar recomendado por la Organización Mundial de Meteorología, es de 13.4ºC, la más alta de la Comunidad juntamente con Zamora, pero lejos de los 20.5º de Santa Cruz de Tenerife o los 19.6 de Sevilla, pero igual que la de Paris.

Lejos de esta Arcadia feliz, mayo tiene otras connotaciones; las temperaturas lo mismo que otros agentes meteorológicos, ya no son arquetipos. El calentamiento de la Tierra, asaz repetido, está provocando una alteración en las estaciones del año, sobre todo en primavera que "ahora es varios días más larga que hace veinte años"; según un estudio conjunto de universidades madrileñas a finales del pasado año. Asimismo, señala que los efectos del calentamiento del planeta se han visto reflejados durante los últimos decenios en la actividad migratoria de los animales y en el ciclo de las plantas. Este alargamiento incide sobremanera en mayo y afecta sobre todo a la primavera biológica, estación en la que se genera la mayor actividad vegetal. Estas alteraciones provocan efectos ecológicos y sociales que, siguiendo el estudio, podrían agravarse a lo largo de este inaugurado siglo, si persiste el calentamiento global terráqueo.

Como resultado directo de la acción del hombre, hecho incuestionable para la comunidad científica, el clima se ha deteriorado poniendo en evidencia los viejos esquemas de desarrollo industrial, según los cuales las garantías para la naturaleza eran vistas como rémoras en la inversión y empleo. Seis de los últimos diez años han sido los más calurosos del siglo, con elevaciones sistemáticas de las temperaturas que, aunque se presentan como irrelevantes, exhiben una tendencia peligrosa para el frágil equilibrio del planeta.

El mes de mayo, séptimo del año agrícola, es crítico para las plantas en el mundo occidental. En esta época, tan brusca como aleatoria, se han gestado la mayoría de las novenas y rogativas consagradas a la Virgen o al santo local, bien para implorar o para cesar las fuerzas incontroladas de la naturaleza. Su ceremonial radica en la plegaria dirigida al protagonista religioso susceptible de modificar la meteorología coincidente con los estados más importantes del ciclo de las plantas.

Estudios científicos o empíricos, novenas o rogativas, promesas en general, muchas quedarán "para mayo" expresión sudamericana equivalente a las calendas griegas (ad calendas graecas) que simboliza una fecha que nunca ha de llegar.

Volver al principio del artículo             Volver al principio

Resolución de las ecuaciones en diferencias

Arturo Pérez París y Julio Gutiérrez. Universidad de Alcalá

1. Introducción
2. Soluciones de las ecuaciones en diferencias lineales no homogéneas de orden k
3. Teorema de existencia y unicidad para valores iniciales
4. Métodos de resolución abreviados de las ecuaciones en diferencias: El polinomio característico
4.1. Ecuaciones de primer orden con coeficientes constantes
4.2. Caso de las ecuaciones inhomogéneas con coeficientes constantes
4.3. Uso del método del anulador o polinomio característico para ecuaciones inhomogéneas
5. Ecuaciones de orden superior con coeficientes constantes
6. Generalización del método del polinomio característico en la búsqueda de soluciones de una ecuación inhomogénea con coeficientes no constantes
7. Resumen del método del polinomio carácterístico
8. Conclusión

1. Introducción

En el artículo anterior (Vivat Academia nº 31, diciembre 2001- enero 2002) hicimos una exposición del planteamiento general de las ecuaciones en diferencias, con el estudio de los criterios de estabilidad y asintoticidad, y dimos una serie de pautas para poder manipularlas adecuadamente. Vimos que cualquier ecuación de este tipo puede ser resuelta por el método estándar de la recurrencia, establecido en el primer artículo introductorio, denominado las Torres de Hanoi (Vivat Academia nº 30, noviembre 2001). En los casos más simples ello puede ser útil, sin embargo, en la generalidad de los casos debemos recurrir a otros métodos con el fin de asegurarnos la obtención de las soluciones, sin hacer uso de complejos y tediosos cálculos. En este artículo mostraremos uno de estos métodos de resolución.

Asimismo, al finalizar el artículo anterior mencionado, vimos la posibilidad de obtener soluciones generales para las ecuaciones en diferencias. Expondremos a continuación el teorema de existencia y unicidad de las soluciones.

Volver al principio del apartado            Volver al principio del artículo              Volver al principio

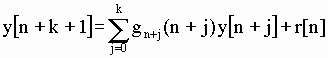
2. Soluciones de las ecuaciones en diferencias lineales no homogéneas de orden k

Sea la ecuación en diferencias, lineal, no homogénea, de orden k, con coeficientes no constantes

Esta ecuación también se puede escribir en la forma

donde se ve claramente el orden de la ecuación. Los g[i] y r[n] son los coeficientes no constantes, determinando el último la inhomogeneidad de la ecuación. El término r[n] es llamado término de forzamiento, fuerza externa, control o entrada ("input") del sistema, ya que se corresponde, en la mayoría de los problemas físicos, con una fuerza externa que obliga al sistema a comportarse de una forma determinada.

Para encontrar la solución necesitamos de k valores que fijen las condiciones iniciales del problema.

La ecuación homogénea asociada, a la que no imponemos condiciones iniciales, será

Sea u[n] una solución general de esta ecuación, es decir, una solución válida para cualquier condición inicial. Sea z[n] una solución particular de la ecuación completa, válida solamente para el conjunto de condiciones iniciales

y[n] = a0, y[n+1]=a1, y[n+2]=a2,..., y[n+k]=ak

La suma

w[n] = u[n] + z[n]

es también solución de la ecuación completa, ya que será z[n] la que determine la igualdad de la ecuación con r[n] y la coincidencia con los valores iniciales.

Como es fácil de ver, si z1[n] y z2[n] son dos soluciones de la ecuación completa, su diferencia

z1[n] - z2[n]

será solución de la ecuación homogénea asociada.

Sean u1(n) y u2(n) dos soluciones generales de la ecuación homogénea, es decir dos soluciones válidas, para cualquier valor inicial. Entonces, tal como concluíamos al finalizar el artículo anterior, una combinación lineal de estas dos soluciones será también solución de la ecuación homogénea

C·u1[n] + D·u2[n]

con C y D dos valores reales cualesquiera.

Queda por determinar si la solución w[n], suma de la solución general de la homogénea y una solución particular de la ecuación completa, que satisface además el conjunto de valores iniciales, es única.

Volver al principio del apartado            Volver al principio del artículo              Volver al principio

3. Teorema de existencia y unicidad para valores iniciales

Como habíamos concluido en el artículo anterior, si w1[n] y w2[n] son dos soluciones de la ecuación completa que satisfacen el conjunto de condiciones iniciales, también una combinación de ellas

A w1[n] + B w2[n]

debe ser solución. Sin embargo, la combinación no es arbitraria. Sustituyendo la suma anterior en la ecuación completa, observamos que debe cumplirse la condición A+B=1.

Así pues, veamos si la existencia de estas dos soluciones diferentes w1 y w2 está permitida o, por el contrario, ambas deben coincidir.

Tengamos

W[n] = A w1[n] + B w2[n]

que, a su vez, siendo solución de la ecuación completa, será de la forma

W[n] = U[n] + Z[n]

con

w1[n] = u1[n] + z1[n]; w2[n] = u2[n] + z2[n]

Como cualquier combinación lineal de soluciones de la ecuación homogénea también lo es

U[n] = A u1[n] + B u2[n]

es solución de la ecuación homogénea. Podemos tomar, entonces U[n] como la solución general, donde están incluidas todas las soluciones posibles de la ecuación homogénea. Queda por ver si

Z[n] = A z1[n] + B z2[n],

es solución de la ecuación completa, con la condición A+B=1.

Tomemos primeramente A = 1 - B, entonces

Z[n] = (1 - B) z1[n] + B z2[n] =
= -B (z1[n] - z2[n]) + z1[n]

Tomemos ahora B = 1 – A, entonces

Z[n] = (1 - A) z2[n] + A z1[n] =
= A (z1[n] - z2[n]) + z2[n]

Anteriormente hemos visto que (z1[n] - z2[n]) es solución de la ecuación homogénea y no de la completa. Por otra parte como solución particular de la completa nos queda

Z[n] = z1[n] y
Z[n] = z2[n]

Es decir, la solución particular es única por lo que respecta a la ecuación completa, ya que (z1[n] - z2[n]) al ser una solución de la ecuación homogñenea debería estar ya inluida en la solución general U[n] (según lo anterior esa solución es idénticamente nula).

Quedaría todavía una cuestión por contestar, correspondiente a la existencia de la solución. Es decir, dada una ecuación inhomogenea, lineal, ¿existe siempre solución? Acabamos de ver que, si existe, la solución es única. Pero la prueba de existencia no es simple, salvo que la ecuación sea homogénea o inhomogénea con coeficientes constantes. Para este curso introductorio, sería demasiado tedioso comprobar el teorema de existencia, por lo que dejamos al lector el trabajo de buscar en la bibliografía las pruebas pertinentes.

Volver al principio del apartado           Volver al principio del artículo              Volver al principio

4. Métodos de resolución abreviados de las ecuaciones en diferencias: El polinomio característico

El método de la recurrencia, como ya hemos mencionado, es una forma bastante tediosa y larga de encontrar las soluciones a las ecuaciones en diferencias. En muchos de los casos existen formas más abreviadas de resolver este tipo de ecuaciones. Mostramos aquí una de ellas, sobre todo porque guarda estrecha relación con los métodos de resolución de las ecuaciones diferenciales, que es lo que en suma nos importa, ya que pretendemos establecer un paralelismo entre ambos tipos de ecuaciones, a fin de establecer el método de resolución numérico llamado de las diferencias finitas.

Volver al principio del apartado           Volver al principio del artículo              Volver al principio

4.1. Ecuaciones de primer orden con coeficientes constantes

Para entender mejor el proceso, partamos de una sencilla ecuación homogénea en diferencias, con coeficientes constantes

y[n+1] - b·y[n] = 0

Utilizando la nomenclatura de operadores desarrollada en el artículo anterior, esta ecuación se puede rescribir en la forma

(E – b I) y[n] = 0

siendo E el operador desplazamiento, también llamado salto o cambio, e I el operador identidad

E = Operador de cambio: E ( u[n] ) = u [n+1]

I = Operador identidad: I ( u[n] ) = u [n]

Usando la recurrencia, y suponiendo la condición inicial y[0] = A

y[n+1] = b·y[n]
y[1] = b·y[0] = b·A
y[2] = b·y[1] = b2·A
.
.
.
y[n] = b·y[n-1] = bn·A

En términos de operadores, tendremos:

y[1] = E·y[0] = b I·A
y[2] = E·y[1] = E2 y[0] = b2·I2A
.
.
.
y[n] = E·y[n-1] = En y[0] = bn·InA

También podríamos expresar la solución de la ecuación en la forma:

En y[0] - bn·In A = 0

{En - bn In} y[0] = 0

Es decir, podemos inferir que el operador En toma como valor bn In, o equivalentemente, el operador E es exactamente b I. Nótese que ello equivale a anular el paréntesis (E – b I) en la expresión de partida que define la ecuación en diferencias que nos ocupa:

(E – b I) y[n] = 0

Este paréntesis es denominado polinomio característico.

p(E) = E – b I

Su resolución, equivalente a encontrar los valores del operador E que anulan dicho paréntesis, nos da la solución de la ecuación en diferencias, (bien es verdad que en este sencillo caso de ecuación homogénea). Así:

y[n] = E y[n-1] = En y[0] = En A = bn A

Volver al principio del apartado           Volver al principio del artículo              Volver al principio

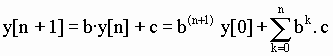
4.2. Caso de las ecuaciones inhomogéneas con coeficientes constantes

Veamos qué ocurre para una ecuación en diferencias inhomogénea, con coeficientes constantes, tal como:

y[n+1] - b·y[n] = c

con la condición inicial y[0] = A. En términos de operadores:

(E – b I) y[n] = c

En este caso la recurrencia nos proporciona:

y[1] = b·y[0] + c = b·A + c
y[2] = b·y[1] + c = b2·A + b c + c
y[3] = b·y[2] + c = b3·A + b2 c + b c + c
.
.
.
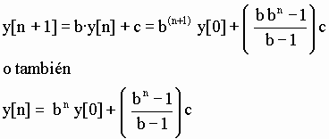
y[n] = b·y[n-1] + c =
bn·A + {b(n-1) + b(n-2) + ... + b2 + b + 1} c

y[n+1] = b·y[n] + c =
b[bn·A + {b(n-1) c + b(n-2) + ... + b2 + b + 1} c] + c =

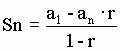
El sumatorio de la derecha de la expresión anterior corresponde a la suma de los términos de una progresión geométrica de razón b. Recordemos el valor de esta suma, dada en el articulo "Torres de Hanoi":

 Sn = a1 + a2 + …………. + an
r·Sn = a2 + a3 + ……. +an + an · r
Sn - r·Sn = a1 - an·r =>
(1 - r) Sn = a1 - an·r =>

En consecuencia

Para conseguir un método abreviado, podemos optar por otro procedimiento, en un intento de utilizar el método del polinomio característico (método del anulador), descrito para la solución de la ecuación homogénea. Sin embargo, primeramente vamos a describir una forma sencilla, sólo útil para las ecuaciones inhomogéneas en coeficientes constantes.

Si pudiéramos reducir la ecuación inhomogénea que nos ocupa a una ecuación homogénea, de la que sabemos encontrar la solución por el método del polinomio característico, habríamos resuelto el problema. De esa forma, la solución más general de la ecuación anterior sería la solución general de una ecuación homogénea a la que hemos obligado a obedecer la condición inicial. Transformemos la ecuación en una nueva, redefiniendo los estados en esta forma

yp[n] = F y[n] + G c

El siguiente estado será

yp[n+1] = F y[n+1] + G c

De las expresiones anteriores encontramos

(yp[n+1] – G c) F-1 = y[n+1]

(yp[n] – G c) F-1 = y[n]

Las constantes F y G se determinan de forma que la ecuación resultante para yp[n] sea homogénea. Sustituyendo los valores anteriores en la ecuación inhomogénea de partida, encontramos

F = G (b – 1)

Y la solución de la ecuación resultante

yp[n+1] – b yp[n] = 0

puede encontrarse por el método del anulador del polinomio característico

(E – b I) yp[n] = 0

Es decir

yp[n] = E yp[n-1] = En yp[0] = bn yp[0]

Ahora debemos identificar las condiciones iniciales de yp[n] en función de las de y[n]. De la transformación

yp[0] = F y[0] + G c

obtenemos

yp[n] = bn (F y[0] + G c)

donde, sustituyendo el valor de yp[n], resulta

F y[n] + G c = bn (F y[0] + G c)

y[n] = bn ( y[0] + c G/F) – c G/F

De las condiciones sobre F y G determinamos la solución final de la ecuación en diferencias inhomogénea motivo de estudio

 

que coincide exactamente con la encontrada por el método de la recurrencia.

Volver al principio del apartado           Volver al principio del artículo              Volver al principio

4.3. Uso del método del anulador o polinomio característico para ecuaciones inhomogéneas

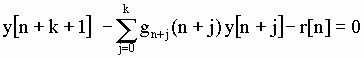
Observemos que la ecuación puede ser escrita de la forma:

(E – b I) y[n] – c = 0

En ella, tomando el anulador de la ecuación homogénea

(E1 – b I) yh[n] = 0

obtendríamos sus soluciones. En este caso

E1 = b I

equivalentemente

yh[n] = A bn

con A una constante arbitraria. Nos faltaría ahora encontrar una solución particular de la ecuación completa.

Tengamos en cuenta que el operador diferencia actuando sobre una constante es cero, es decir:

D c = 0 

De la definición de operador cambio, E = (D + I):

E c = c ; (E - I) c = 0

Es decir, el anulador de c es (E - I). Consecuentemente, la ecuación

(E – b I) y[n] – c = 0

tiene una solución en términos de anuladores, consistente en encontrar el anulador de c, que llamaremos E2 y verifica

(E2I) (E – b I) yp[n] = 0 = (E2I) c

siendo yp[n] una solución particular de la ecuación inhomogénea completa. La ecuación para yp[n] tiene dos soluciones, una usando el anulador (E – b I) y la otra usando (E2I), que son respectivamente, en términos del polinomio característico

E = b I y E2 = 1 I

es decir,

yp1[n] = bn e yp2[n] = 1n

Pero aquí debemos tener en cuenta que la solución de las ecuaciones inhomogéneas la buscamos como suma de la ecuación general de la homogénea asociada y una solución particular de la inhomogénea completa. Con ello queremos indicar que la solución que obtengamos haciendo uso del polinomio

(E – b I) = 0

es una solución de la ecuación homogénea, ya incluida en la resolución correspondiente de la ecuación asociada. Usar el anterior anulador nos proporcionaría una redundancia innecesaria. Así pues, sólo es necesario determinar la solución del polinomio

(E2I) = 0

Notemos que, en términos de operadores, la ecuación inhomogénea de partida se escribe como

[Polinomio de E] x y[n] = c

y la solución particular se encuentra como el anulador de c, es decir

[anulador c] x [polinomio de E] = 0

Consecuentemente la solución será la suma de la solución general correspondiente a la ecuación homogénea más la solución particular de la inhomogénea completa, encontrada utilizando el anulador precedente

E2 = I

que, en este caso, indica una solución

yp2[n] = constante arbitraria = B

Así pues la solución buscada será:

y[n] = yh[n] + yp2[n] = A bn + B

siendo A y B dos constantes arbitrarias, a determinar por medio de la propia ecuación y de la condición inicial.

Sustituyendo esta solución en la ecuación original

y[n+1] - b·y[n] = c

o en forma equivalente

(E1 – b I) y[n] = c

es decir,

(E1 – b I) (A bn + B) = c

Recordemos que la solución A bn lo es de la ecuación homogénea, luego la aplicación del anulador al primer término es cero. Por tanto, obtenemos

(E1 – b I) B = c

Como el operador salto actuando sobre una constante la deja invariante, resulta

B – b B = c => B = c/(1-b)

Utilicemos ahora la condición inicial que, en términos de la solución encontrada, será

y[0] = A + c/(1-b)

para obtener el valor de A

A = y[0] – c/(1-b) = y[0] + c/(b-1)

Luego la solución se escribirá

y[n] = y[0] bn - c bn/(1-b) + c/(1-b) =
= y[0] bn + c (bn-1)/(b-1)

Nótese que esta solución coincide exactamente con las encontradas por el método de la recurrencia y de la reducción a una homogénea. Debemos tener cuidado con la redundancia posible en soluciones de la ecuación homogénea asociada al buscar las soluciones particulares.

Volver al principio del apartado           Volver al principio del artículo              Volver al principio

5. Ecuaciones de orden superior con coeficientes constantes

Para abordar este apartado resolveremos unas ecuaciones prototipo que nos servirán de base:

y[n+2] + y[n] = 0
Homogénea de orden dos.

Si la reescribimos en función del operador de desplazamiento, resulta:

(E2 + 1I)y[n] = 0

Podemos obtener el polinomio característico y sus correspondientes raíces (en este caso pertenecientes al cuerpo de los números complejos e imaginarias puras):

P(r) = r2 + 1 = 0
Raices: r1 = j
            r2 = -j

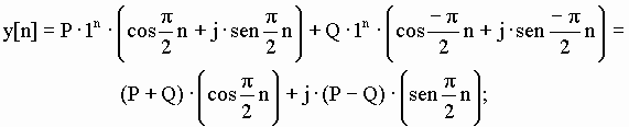
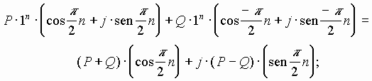
Así la solución de esta ecuación homogénea es:

y[n] = P j n + Q (-j)n

si aplicamos las reglas de Euler será:

Debemos buscar las soluciones reales de esta ecuación en diferencias, para ello basta con escoger las constantes "P" y "Q" de tal manera que sean complejos conjugados, es decir:

P = A1 + j B1
=> P + Q = 2·A1 = A ;
j·(P - Q) = -2·B1 = B ;
donde
Q = A1 - j·B1

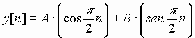
resultando la solución general:

Volver al principio del apartado            Volver al principio del artículo              Volver al principio

6. Generalización del método del polinomio característico en la búsqueda de soluciones de una ecuación inhomogénea con coeficientes no constantes

Sea la ecuación inhomogénea con coeficientes no constantes

Cualquier solución y[n] tomará la forma

donde {h1[n], h2[n], h3[n] ... hk[n]} es un conjunto completo de soluciones de la ecuación homogénea asociada e yp[n] es una solución particular de la inhomogénea completa. Los coeficientes ai son constantes arbitrarias a determinar.

Sabemos usar el método del anulador para cualquier ecuación homogénea, centremos, por tanto, nuestra atención en la búsqueda de yp[n]. Debemos indicar que la utilización del método del anulador no es efectiva para cualquier expresión del término inhomogéneo r[n]. Se pueden encontrar reglas muy simples, sin embargo, para aquellos casos en que r[n] sea combinación lineal de funciones de la forma

bn, sen(bn), cos(bn), nk

o productos de éstas, habituales en las ecuaciones de sistemas físicos.

Denominaremos operador anulador N(E) del término de forzamiento r[n], donde E representa el operador cambio o salto, a un polinomio de E que anule el término de inhomogeneidad, es decir, verifique

N(E) r[n] = 0

Mediante la búsqueda de las raíces de este polinomio (soluciones del polinomio igualado a cero), encontraremos las soluciones particulares de la ecuación completa.

Recordemos que en términos de operadores la ecuación inhomogénea de partida se escribe como

[Polinomio de E] x y[n] =
término de forzamiento

y la solución particular se encuentra como el anulador de la fuerza externa, es decir

[anulador del término de forzamiento]
x [polinomio de E] = 0

Pongamos unos ejemplos:

Ejemplo 1:
Si r[n] = bn entonces
E (bn) = bn+1,
consecuentemente
(E – b I) r[n] = 0 =>
(E – b I) yp[n] = 0 e yp[n] = bn

Ejemplo 2:
Si r[n] = cos(np/2), entonces
E cos(np/2) = cos(p(n+1)/2) =
= - sen(np/2) y
E2 cos(np/2) = E [- sen(np/2)] =
= - sen(p(n+1)/2) = - cos(np/2),
consecuentemente
(E2 - I) r[n] = 0 => (E2 + I) yp[n] = 0
e yp[n] = cos(np/2),

Escribimos pues la ecuación de la forma:

P(E) y[n] = r[n]

y encontramos las soluciones haciendo

N(E) P(E) y[n] = 0

es decir, obteniendo las raíces l1, l2, l3, ..., lk del polinomio característico P(E) correspondientes a la ecuación homogénea

P(E) y[n] = 0

La solución particular será

N(E) yp[n] = 0

que se determina encontrando las raíces m1, m2, m3, ..., mj del polinomio característico N(E), correspondientes al anulador de la fuerza externa.

Debemos ahora hacer un par de consideraciones.

Caso 1:
Ninguno de los coeficientes lk es igual a alguno de los coeficientes mj, entonces podemos escribir la solución particular yp[n] como la solución general de la ecuación N(E)yp[n]=0 con constantes, en principio, indeterminadas, a encontrar sustituyendo la solución en la ecuación inhomogénea de partida.

Caso 2:
Ocurre que lk=mj para algunos valores de estas constantes. Entonces el conjunto de raíces características de la ecuación N(E)P(E)y[n]=0, es la unión de los dos conjuntos {lk} {mj} y, por tanto, contiene raíces múltiples. Para determinar la solución particular yp[n], debemos desechar de las soluciones que proporciona N(E)P(E)y[n]=0 aquellas que ya están incluidas en la solución general de la ecuación homogénea asociada que, en otro caso, serían redundantes.

Volver al principio del apartado            Volver al principio del artículo              Volver al principio

7. Resumen del método del polinomio carácterístico

Hemos recogido los casos más básicos de resolución de este tipo de ecuaciones por el método del polinomio característico, que se puede extender a la búsqueda de soluciones particulares de las ecuaciones no homogéneas, incluso en coeficientes no constantes. De forma genérica, podría plantearse un método de trabajo que sintetizara, a modo de receta, todo lo aquí expuesto:

1º.) Haremos que el coeficiente de término de mayor orden sea la unidad operando adecuadamente la ecuación en diferencias. Es decir, si el término de mayor orden aparece multiplicado por alguna constante o expresión conocida del orden n, debemos dividir toda la ecuación por dicha constante o expresión.

2º.) Reescribiremos la ecuación en función del operador salto "E", recordando que:

E = y[n+1]

E2 = y[n+2]

3º.) Obtendremos el polinomio característico a partir de la homogénea asociada, y de él sus raíces, sacando así la solución general de la ecuación en diferencias. Éstas podrán ser, bien reales, con lo que la solución a la ecuación será de la forma:

raíz: l

=> l n , n·l n , n2·l n
multiplicidad: n

bien complejas, con lo cual la solución general sería:

raíz: P·jn + Q·(-j)n
=>

multiplicidad: 1

si hubiera "n" multiplicidad, se seguiría la pauta marcada para para las soluciones reales.

4º.) Si fuese preciso, porque la ecuación fuese no homogénea, a partir de la ecuación reescrita en "E", se igualaría al segundo termino de la ecuación (la fuerza externa); buscaríamos su anulador (el correspondiente a este segundo término) y lo aplicaríamos a toda ella, obteniendo así una homogenea de orden superior.

5º.) En caso de utilizar el método del anulador o polinomio característico para encontrar soluciones particulares de una ecuación inhomogénea, utilizando la suma de una solución particular de la completa y la solución general de la homogénea, debemos descartar la parte que coincida con la solución general obtenida para la homogénea asociada (esta parte resulta redundante).

6º.) Igualaremos lo que queda de la solución, operada con la expresión en "E", de la ecuación original con el segundo término de dicha ecuación original, y con ello valoraremos los coeficientes arbitrarios de la solución particular.

7º.) Expondremos la solución final como suma de las soluciones general y particular.

Volver al principio del apartado            Volver al principio del artículo              Volver al principio

8. Conclusión

En este artículo les hemos presentado una breve exposición de la resolución de ecuaciones en diferencias por el método del polinomio característico, también llamado del anulador. Hemos optado por una presentación particular, haciendo uso de ejemplos sencillos de fácil comprensión, para después llegar a la generalización del método, por ser una forma sencilla de mostrar la teoría de las ecuaciones en diferencias. Sin faltar al rigor matemático, hemos omitido muchos de los lemas, teoremas y definiciones, habituales en estos casos, para evitar la dispersión de la idea principal, así como el excesivo volumen del trabajo, que harían oscuro al neófito la sencillez de este método.

No hemos descrito otros posibles métodos, lo que dejamos para posibles trabajos futuros, porque es concretamente éste el que marca con más intensidad el paralelismo entre las ecuaciones en diferencias y las diferenciales, que era nuestro objetivo principal.

En el próximo artículo mostraremos las analogías anunciadas y estableceremos el llamado método de las diferencias finitas de resolución numérica de ecuaciones diferenciales, así como sus limitaciones.

 Volver al principio del apartado            Volver al principio del artículo              Volver al principio 

RECORTES

Los españoles creen que la educación ha mejorado, pero que falta disciplina
España suspende en gasto, nivel educativo y maestros de apoyo
Birulés dejó de pagar el 70% del dinero presupuestado para ciencia en 2001
Los impagos del Gobierno dificultan la proyección exterior de la ciencia española
El Ministerio de Ciencia atribuye sus impagos a la llegada del euro
Una veintena de personalidades recuerdan en un libro a su mejor maestro
Aznar afirma que ‘muchos profesores están amenazados’ y pasan ‘miedo’

Los españoles creen que la educación ha mejorado, pero que falta disciplina

El 65% piensa que a los docentes les falta poder frente a los alumnos

MARTA AGUIRREGOMEZCORTA. Diario "El País". Jueves, 25 de abril de 2002. Madrid

La educación está mejor que en el pasado, pero falta autoridad en los colegios e institutos. Esto es lo que piensan los españoles, según el último barómetro del Centro de Investigaciones Sociológicas (CIS). Así, el 40,8% de los encuestados cree que hoy día el sistema educativo está mejor que hace 20 años (frente al 32% que asegura que está peor), y el 68,6%, que existe excesiva tolerancia (piensa lo contrario un 20,3%).

La encuesta se ha realizado a 2.498 personas mayores de 18 años. Sólo el 13% tenía hijos con edades comprendidas entre 14 y 18 años. En el 74% de los casos estudiaban en centros públicos; en el 17%, en privados religiosos, y en el 4%, en privados no religiosos.

Según los encuestados, la mayoría de los padres (el 83,4%) es muy o bastante tolerante con sus hijos, mientras que el 75% de los profesores lo es con sus alumnos. Casi el 90% de los españoles está de acuerdo en que los estudiantes deberían de respetar más a los profesores, mientras que el 65% piensa que los docentes no tienen toda la autoridad que necesitan sobre su alumnado, y el 70%, que deberían tener la facultad de imponer castigos a los chicos.

La mayoría (el 63,7%) cree que la responsabilidad de educar a los jóvenes debe ser compartida a partes iguales entre el centro y las familias; el 32% considera que esta tarea le corresponde sólo a los padres, y el 2,8%, exclusivamente a los centros educativos.

La inmensa mayoría (el 82,5%) está a favor de que en los colegios públicos se imparta clases de religión católica para los alumnos que lo deseen, frente al 10,5% que está en contra. La situación varía, en cambio, respecto a la religión musulmana, judía y protestante, pues el 50% de los encuestados piensa que el centro debe de ofrecer su enseñanza a quien lo solicita, frente al 35,5% que cree que no. En cuanto a que las chicas musulmanas se cubran la cabeza con un pañuelo para asistir a clase, el 40% de los españoles está en contra; el 31,7%, a favor, y al 22,4% le resulta indiferente.

Los resultados de esta encuesta han sido interpretados de forma antagónica por parte del PP y del PSOE. El portavoz de Educación del PP en el Congreso, Juan Carlos Guerra Zunzunegui, señaló que esta encuesta demuestra que los españoles avalan de una forma ‘abrumadora’ la reforma educativa que prepara el Gobierno con la Ley de Calidad. La responsable de Educación en el PSOE, Carme Chacón, reprochó, en cambio, al ministerio de haber ‘encargado la encuesta al CIS para buscar apoyo a su política’ y ‘hacer catastrofismo con la educación’. ‘Pero el resultado les ha salido francamente mal, ya que son minoría los españoles que consideran que el sistema educativo está mal’, dijo Chacón.

Volver al principio del artículo             Volver al principio de Recortes             Volver al principio

España suspende en gasto, nivel educativo y maestros de apoyo

El sistema español ocupa la tercera plaza en la OCDE en igualdad entre los centros por razones socioeconómicas, según un informe presentado ayer

Diario "El Mundo", sábado 27 de abril de 2002.

MADRID. España se encuentra por debajo de la media de los países de la OCDE en cuanto al nivel educativo de la sociedad, el gasto destinado a Educación (tanto en el porcentaje del PIB como en el gasto por alumno) y el porcentaje de profesores de apoyo para atender a los alumnos con problemas de aprendizaje.

Como dato positivo, España es el tercer país en lo referido a igualdad entre los centros docentes por razones socieconómicas y culturales, sólo por detrás de Finlandia y Noruega, según los últimos datos de la OCDE correspondientes a 2001, dados a conocer ayer por la Fundación para la Modernización de España (FME).

España también figura en los primeros lugares en lo que se refiere a la retribución que reciben los profesores.

Estos y otros datos se debatieron en una jornada organizada por la FME bajo el título La Educación a examen: visión de las reformas educativas desde una perspectiva internacional, para debatir y comparar la situación de la educación en España respecto a los otros países de la UE.

El vicepresidente del Patronato de la FME, Carlos Hernández Gil, señaló que la educación en España presenta factores positivos y negativos, por lo que hay que seguir trabajando para conseguir una mejora, que no sólo depende de alumnos y profesores, sino de la sociedad en general.

El catedrático de Psicología Evolutiva de la Universidad Complutense de Madrid, Alvaro Marchesi, afirmó que una reforma educativa no debe ser sólo una ley que se imponga de forma puntual, sino que las propuestas para mejorar la calidad de la enseñanza deben ser algo permanente, con un aumento del gasto educativo para conseguir un mayor nivel cultural de los españoles, informa Servimedia.

Sobre el nuevo sistema de itinerarios previsto en la Ley de Calidad, el director del Instituto Internacional de Planificación de la Educación de Argentina, Juan Carlos Tedesco, dijo que deben ser flexibles, para permitir cambiar de itinerarios, y tienen que estar acompañados de una buena información al alumno para que adopte la decisión más adecuada.

En cuanto al rendimiento académico de los alumnos en relación con el gasto que se dedica a cada estudiante en los países, los resultados en España son inferiores a la media de la OCDE.

Hay países con mayor gasto por alumno y con peores resultados (como Italia y Alemania), otros estados con mucho mayor gasto por alumno pero con resultados sólo ligeramente superiores (como Dinamarca y Estados Unidos) y países con menor gasto por alumno pero con mejores resultados (como Irlanda y República Checa).

Volver al principio del artículo             Volver al principio de Recortes             Volver al principio

Birulés dejó de pagar el 70% del dinero presupuestado para ciencia en 2001

Una ejecución del gasto tan bajo es ‘escandalosa y no tiene precedentes’, según el PSOE

ALICIA RIVERA. Diario "El País". Madrid. Jueves, 2 de mayo de 2002

El 70% del dinero presupuestado para investigación en el Ministerio de Ciencia y Tecnología el año pasado no se gastó. Según datos facilitados por el ministerio que encabeza Anna Birulés en el Parlamento, en respuesta a preguntas formuladas por el Grupo Socialista, un 88,3% del capítulo que financia la investigación básica en España no se ha gastado. En la misma situación de no ejecución presupuestaria ha quedado el 61,1% de lo asignado para becas y el 65,8% del Fondo Nacional, que financia la investigación aplicada, gran parte de la biomedicina y la informática.

Las cifras oficiales del dinero de I+D no ejecutado en 2001 suponen que sólo se ha gastado uno de cada diez euros del Programa General del Conocimiento (que engloba la ciencia básica). En concreto, han quedado sin gastar 46 de los 52 millones de euros presupuestados. En el capítulo de becas y movilidad científica y en el Fondo Nacional, la proporción de dinero no gastado es dos de cada tres euros: 36 de los 59 millones de euros presupuestados para becas y 110 de los 167 millones de euros del Fondo Nacional, que abarca la financiación de áreas como biomedicina, biotecnología, información y comunicaciones, materiales, etcétera.

Estas partidas se englobaban antes en el Plan Nacional de I+D y en conjunto sumaban en el Presupuesto 278 millones de euros, mientras que a los investigadores llegaron 86 millones, sólo el 30% del total ‘Es un escándalo; una ejecución presupuestaria tan baja no tiene precedentes’, comentó ayer a este diario Jaime Lissavetzky, diputado del PSOE. ‘Parece mentira que precisamente ahora que España preside la UE se conozcan estas cifras escandalosas. Más aún teniendo en cuenta que somos el tercer país por la cola en la UE por porcentaje del PIB dedicado a I+D. Encima no gastamos ni lo planeado. Que sólo se haya gastado uno de cada diez euros adjudicados a investigación básica da una idea tercermundista de la labor de nuestro Gobierno en I+D’.

La paralización administrativa que pone de manifiesto la bajísima ejecución presupuestaria coincide con la puesta en marcha del nuevo Ministerio de Ciencia y Tecnología en 2000, a cargo de Anna Birulés. El MCYT se apoya en gran medida en lo que era el desaparecido Ministerio de Industria, mientras que antes el Plan Nacional de I+D se gestionaba en el Ministerio de Educación.

Dinero perdido

Según las normas de contabilidad actuales, ‘el dinero no gastado del presupuesto anterior es dinero perdido para el Ministerio de Ciencia y Tecnología, ya que se queda en Hacienda y no se incorpora al presupuesto del ministerio de este año’, explicó Lissavetzky. Como el dinero de los proyectos de investigación está comprometido, y como tal, comunicado a los científicos, se pagará, pero en detrimento de lo presupuestado para este año, en opinión del parlamentario socialista, encargado de los temas de ciencia y tecnología.

Mientras tanto, los investigadores no reciben el dinero necesario y comprometido para realizar su trabajo en los laboratorios. Muchos de ellos ya protestaron acerca de su situación a finales del año pasado, porque no llegaba el dinero adjudicado para sus proyectos ya evaluados y oficialmente aprobados hacía meses. El ministerio dijo primero que los pagos estaban al día y sólo reconoció que era ‘posible que en algún caso aislado’ se recibiera el dinero con retraso. El compromiso de actualizar los pagos no se cumplió a final de año y ya en enero los retrasos seguían haciendo estragos en los grupos de investigación, que sufrían serias dificultades para continuar su trabajo científico.

Ocho sociedades científicas que agrupan a unos 2.000 investigadores de biomedicina enviaron ese mes de enero un duro comunicado al MCYT advirtiendo que los retrasos en los pagos de los proyectos podían obligar a muchos equipos a paralizar completamente su trabajo. Dichas sociedades también advertían: ‘El caos financiero no permite mantener la competitividad de nuestros laboratorios’.

En marzo pasado, el secretario de Estado de Política Científica, Ramón Marimón, dijo que los proyectos se estaban cargando a los presupuestos de 2002, pero a fecha de abril muchos investigadores seguían sin recibir los fondos.

Birulés y Marimón han recalcado desde el inicio de su gestión la importancia de articular debidamente la investigación científica y la empresa para superar la gran fisura existente entre los resultados de la investigación y sus aplicaciones. Pero tampoco el programa Profit, orientado a la empresa y englobado en el Plan Nacional de I+D+i, ha salido bien parado de la ejecución presupuestaria del Ministerio de Ciencia y Tecnología el año pasado. El porcentaje de dinero no gastado en esta partida no es tan alto como en las otras, pero alcanza uno de cada tres euros presupuestados: 50 millones de euros, un 36% del total de esta partida, buena parte de cuyos pagos aún por ejecutar se habían definido como proyectos ‘urgentes’.

Becarios sin dinero y sin el estatuto prometido El Ministerio de Ciencia y Tecnología puso mucho énfasis en definir como una prioridad y como un avance respecto al pasado, la política de becas y de movilidad de los investigadores. Sin embargo las cifras indican que se ha dejado de pagar un 61,1% del dinero presupuestado: 36 de los 59 millones de euros previstos en 2001. ‘Los precarios han estado casi dos meses sin cobrar y todavía hay algunos que no han percibido sus retribuciones; además, el prometido Estatuto del Becario, anunciado para hace más de un año, duerme el sueño de los justos’, recuerda Lissavetzky, parlamentario del PSOE. No sólo se han retrasado los pagos a los becarios, sino que se han adjudicado menos becas de las previstas, explica el diputado socialista. La alarmante crisis de gestión del ministerio no es algo del pasado, sino que continúa este año. Los proyectos de investigación solicitados el mes pasado, cuyo plazo de presentación tuvo que ser ampliado debido al caos informático que impidió durante varias semanas cumplimentar las solicitudes, aún no han sido remitidos al organismo encargado de su evaluación, comenta Lissavetzky. ‘Todo indica que este año se producirán retrasos y el mismo desbarajuste, si no peor’, añade.

Volver al principio del artículo             Volver al principio de Recortes             Volver al principio

Los impagos del Gobierno dificultan la proyección exterior de la ciencia española

Los investigadores reclaman una planificación estable y una continuidad en la gestión

A. RIVERA y X. PUJOL. Diario "El País". Madrid y Barcelona. Viernes, 3 de mayo de 2002

Los investigadores españoles afectados por el impago de las subvenciones del Ministerio de Ciencia y Tecnología están sufriendo ya graves efectos, como tener que renunciar a colaboraciones con equipos internacionales, acumular deudas con la industria o publicar en revistas científicas de inferior nivel por no poder pagar las tarifas de las más prestigiosas. El ministerio dejó de gastar el año pasado un 70% de lo presupuestado en las principales partidas de investigación y muchos grupos siguen aún sin cobrar. Los científicos reclaman una gestión y planificación estables.

‘El año pasado el ministerio no pagó nada de lo aprobado en 2001 para el Plan Nacional del Espacio’, comenta Rafael Rodrigo, director del Instituto de Astrofísica de Andalucía (IAA). Este centro ha adelantado fondos a investigadores afectados por los impagos y los retrasos, que acumulan una deuda de entre 900.000 y 1,2 millones de euros, pese a que en el Plan Especial de Astronomía y Astrofísica se están realizando los pagos.

‘En mi caso, debo 300.000 euros a dos empresas que adelantaron los trabajos del proyecto que dirijo (desarrollo de componentes de la futura sonda Rosetta, de la Agencia Europea del Espacio)’, explica Rodrigo. ‘Tal y como están las cosas hemos renunciado a colaboraciones internacionales que nos han propuesto porque tememos no poder hacer frente a los compromisos’.

Otros equipos de trabajo siguen adelante sólo gracias a que tienen financiación de diversas fuentes. Es el caso de Luis Enjuanes, del Centro Nacional de Biotecnología (del CSIC). ‘Hice la solicitud del proyecto -210.000 euros-en 2000, fue evaluado en 2001 y me comunicaron que estaba concedido en septiembre del año pasado; pero no he recibido el dinero’, comenta.

‘Afortunadamente tengo otros ingresos en mi laboratorio, sobre todo proyectos de la UE y uno de una empresa’, continúa. ‘Lo grave es que hemos perdido completamente la confianza en el ministerio. Antes podía retrasarse la renovación de una beca y luego se ahorraban un mes... eso era tercermundista, pero ahora el ministerio te puede hacer cualquier cosa. Nunca he querido hacer declaraciones públicas, pero esto ha superado mi paciencia; un grupo de investigación no puede aguantar siete meses sin la financiación prevista’.

Lo sorprendente para Enjuanes es que la parte más lenta de la gestión de los proyectos, su evaluación y concesión, se ha sacado adelante, mientras que el pago, ‘que tendría que ser automático’, no ha funcionado. ‘Es como si el ministerio se hubiera ido de vacaciones’, dice.

Los cinco astrofísicos que colaboran en una investigación de formación estelar bajo la dirección de Guillem Anglada (IAA) están pendientes de la tercera y última anualidad de su proyecto, 7.200 euros, que tenían que haber recibido en diciembre de 2001. ‘No se ha pagado nada’, se queja Anglada. ‘He regresado de trabajar en EE UU, necesito un ordenador y no he podido comprarlo’. Otro ejemplo de sus penurias: Anglada tenía que asistir con otro colega del grupo a un congreso sobre interferometría en Taiwan el mes próximo. ‘Tenemos que confirmar nuestra asistencia y no sabemos qué hacer ya que si no recibimos los fondos no podemos ir’.

Cambios bruscos

Pere Puigdoménech, director del Instituto de Biología Molecular (CSIC), en Barcelona, señala dos cosas preocupantes. Una es la constatación de que ‘en cifras absolutas’, el nivel de financiación de la ciencia no ha aumentado en los últimos años. La segunda es el problema de estructura interna que padece el MCYT, lo que explica que haya desfases en los pagos de proyectos. Esto, argumenta, en el fondo se debe a los ‘cambios bruscos y radicales’ que se han dado en los últimos diez años: ‘Cada dos años ha cambiado la orientación de la política científica de modo que el responsable entrante se ha preocupado más de impulsar un nuevo modelo y destruir el anterior que de consolidar lo que había’.

Al analizar la situación de la política científica, Jordi Camí, director del Instituto Municipal de Investigaciones Médicas (Barcelona), destaca que es preocupante que dos ministerios (Sanidad y Ciencia y Tecnología) tiren cada uno por su lado sin ningún tipo de coordinación. ‘En uno [Sanidad] hay dinero o saben cómo conseguirlo, en el otro [Ciencia] ni hay dinero ni saben cómo conseguirlo’, dice.

Jesús Ávila, director del Centro de Biología Molecular Severo Ochoa, se declara ‘afortunado’ porque su programa recibió casi todo el dinero al inicio del mismo, hace tres años. Pero señala: ‘El sistema de ciencia tendría que funcionar con estabilidad, con fechas y plazos automáticos, y no con esta incertidumbre, que nunca sabes lo que va a pasar. Tendría que haber un plan estratégico a largo plazo que siguiera adelante independientemente de los avatares políticos’.

Pedir prestado para publicar

Los científicos tienen que publicar sus hallazgos en las revistas especializadas, tras ser evaluados por expertos. Pero muchas de estas revistas tienen tarifas altas. ‘Vas a publicar y no puedes porque no tienes para pagar’, comenta Guillem Anglada, del IAA. ‘El año pasado tuvimos que suplicar al NRAO [observatorio nacional de radioastronomía de EE UU] una ayuda para pagar un artículo en Nature’. Luis Enjuanes, del CNB, suele publicar en la revista más prestigiosa de su área, Journal of Virology. ‘Tres artículos al año suponen unos 6.000 euros. Nos aceptan nuestras publicaciones sin problema, pero ahora nos estamos planteando cambiar a otras revistas de menor índice de impacto que no cobran’, explica. El índice de impacto de las revistas en que se publica es clave no sólo en la carrera del científico sino también en la evaluación del éxito de las instituciones e incluso de los países.

Volver al principio del artículo             Volver al principio de Recortes             Volver al principio

El Ministerio de Ciencia atribuye sus impagos a la llegada del euro

Los investigadores europeos critican la política científica de la UE

M. NOGUER. " El País". Barcelona y Madrid. Martes, 7 de mayo de 2002

‘Con la implantación del euro tuvimos que cambiar el sistema de pagos y cerrar un mes antes de lo normal nuestros presupuestos’, dijo ayer el secretario de Estado de Política Científica, Ramon Marimon, refiriéndose al hecho de que el 70% del dinero presupuestado para investigación (Programa General del Conocimiento, Becas y Fondo Nacional) en el Ministerio de Ciencia y Tecnología el año pasado acabara sin gastarse.

Marimon consideró ‘normal’ que el Gobierno pueda cambiar las asignaciones anuales a los proyectos de investigación y el momento de los pagos ‘mientras los proyectos se acaben pagando’. Pero la realidad es que investigadores españoles afectados por los impagos están sufriendo graves efectos, como tener que renunciar a colaboraciones con equipos internacionales o no poder pagar sus deudas con la industria.

‘La disculpa del euro no es más que un fallo clamoroso porque estaba más que anunciado; tal vez sea más explicable por el síndrome del Gobierno del déficit cero’, comentó ayer Jaime Lissavetzky, diputado del PSOE. ‘Pero la mala gestión de los fondos públicos del sistema de ciencia y tecnología no es una anécdota de 2001, sino una tendencia que viene de antes: por ejemplo, en el 2000 se dejaron de gastar 66.555 millones de pesetas en el conjunto del Ministerio, y en 2001 han batido el récord con 74.787 millones de pesetas (449,5 millones de euros).

Marimon participó ayer en unas jornadas científicas organizadas por la Comisión Europea y la Universidad Pompeu Fabra en Barcelona, en las que se trazaron líneas hacia el objetivo de convertir Europa en líder mundial en investigacón y desarrollo. Sin embargo, las voces críticas denunciaron la falta de transparencia en la financiación de proyectos de la UE y el intervencionismo de Bruselas en materia de investigación. Richard Portes, del centro de Investigación de Política Económica del Reino Unido, abanderó estas críticas y denunció que ‘nadie sabe quiénes son y con qué criterios trabajan los responsables de la asignación de fondos para proyectos de investigación internacional’. ‘Está claro que falta mucha transparencia’, afirmó.

Volver al principio del artículo             Volver al principio de Recortes             Volver al principio

Una veintena de personalidades recuerdan en un libro a su mejor maestro

A. L. E. Diario "El País". Madrid Martes, 7 de mayo de 2002

Una veintena de personajes del mundo de la literatura, el cine y los medios de comunicación se han sacudido la memoria hasta dar con aquel maestro que de alguna forma cambió su vida. El resultado es Mi infancia son recuerdos..., un libro, editado por Santillana, que fue presentado ayer en el Círculo de Bellas Artes de Madrid y en el que personajes tan diversos como el vicepresidente primero del Gobierno, Mariano Rajoy; el actor Emilio Aragón o la cantante de ópera Ainhoa Arteta retratan a aquel educador que logró apasionarles de pequeños por la ardua tarea de aprender.

La intención, según la coordinadora del volumen, la escritora y maestra Josefina Aldecoa, es ‘rendir homenaje a una serie de hombres y mujeres que han dedicado su vida a un oficio hermosísimo: el oficio de maestro’, un oficio ‘heroico’, apostilló, que consiste sobre todo en ‘estar dispuestos a ayudar a los más jóvenes a superar la difícil tarea de hacerse hombres y mujeres’. Para este homenaje Aldecoa acudió a personalidades públicas y, según el actor y ‘mal estudiante’ Fernando Fernán-Gómez, les hizo el siguiente encargo:

‘¿Puedo escribir algo sobre un maestro, un profesor o un enseñante (como algunos dicen ahora) sin dejarle mal?’. Y la respuesta, a juzgar por los textos publicados, es que sí.

La única nota negra en los relatos la pone la periodista Concha García Campoy que recordó, cómo una profesora del primer colegio laico al que acudió le rompió de una bofetada la nariz por un vicio que, con su profesión, ha logrado convertir en virtud: hablar. Y aún así guarda palabras de gratitud para ‘una monja joven de un colegio estricto pero con un talante maravilloso, que tenía que esforzarse por contener sus emociones para no abrazar a sus alumnas ante cualquier avance’.

‘Sugerencias de la lectura’

El académico de la Lengua y filósofo Emilio Lledó recordó a Don Francisco, un maestro del pueblo de Vicálvaro, ahora anexionado a Madrid, que además de transmitirles la disciplina haciéndoles pintar los colores de la bandera republicana, logró fomentar la curiosidad de sus alumnos con la lectura del Quijote. Porque después de leer en voz alta algún pasaje pronunciaba las palabras mágicas:

‘Y ahora, chicos, sugerencias de la lectura’. ‘Nadie en mis años del bachillerato, de la universidad, ningún profesor entre las montañas de apuntes, entre el siniestro rito de exámenes estupidizantes, implacablemente fomentados, volvió a proponerme tan liberador lema’, mantiene Lledó.

Manuel Toharia, periodista y divulgador científico, recordó al señor Tinel, un profesor de física que le descubrió que ‘la curiosidad, lejos de ser un vicio femenino es la mejor virtud’, un docente que también tenía su fórmula mágica: ‘Jamás permitáis que os quiten la curiosidad: ser curioso es ser científico’.

Volver al principio del artículo             Volver al principio de Recortes             Volver al principio

Aznar afirma que ‘muchos profesores están amenazados’ y pasan ‘miedo’

El presidente asegura que se necesitan ‘herramientas para inculcar respeto y autoridad’

CARMEN MORÁN. Diario "El País". Madrid. Martes, 7 de mayo de 2002

La clave de la reforma educativa es el profesorado.

Si los docentes no apoyan el proyecto que prepara el Ejecutivo, no saldrá adelante. Así lo afirmó ayer el presidente del Gobierno, José María Aznar, quien pintó una situación dramática del clima que se respira en las escuelas españolas, donde ‘muchos profesores están sujetos a amenazas, pasan miedo y tienen que hacer frente a problemas para los que no están preparados’. Aznar pidió a las familias que no deleguen en ellos sus responsabilidades y afirmó que los profesores necesitan herramientas para ‘inculcar respeto y autoridad’.

La calidad educativa es, para el presidente del Gobierno, ‘una cuestión de supervivencia’ porque favorece la innovación e investigación, vital para la competitividad de las empresas; porque facilita la incorporación al cada vez más cambiante mercado laboral; la calidad es un seguro contra el desempleo y, además, mitiga los efectos perversos del envejecimiento. Pero nada de esto se conseguirá si no se reforma el sistema educativo español, a juicio de Aznar.

El presidente inauguró un seminario de la OCDE sobre educación y ofreció una retahíla de datos negativos que afectan a las aulas españolas: un 30% de fracaso escolar, un 4% de excelencia en nuestros estudiantes frente a una media europea del 10%; ‘más de lamitad de los españoles no conoce una segunda lengua extranjera’ y ‘uno de cada cuatro profesores sufre estrés, ansiedad’, algo que Aznar achacó ‘al clima de violencia escolar’ que se vive en las aulas.

Los profesores, dijo Aznar, ven cómo su tarea se hace ‘casi imposible por el clima que se respira en las escuelas. Muchos están sujetos a amenazas, tienen miedo y no pueden hacer frente a problemas para los que no están preparados y que no se circunscriben al aula’. ‘Las leyes no les dejan hacer lo que hay que hacer’. ‘Y están sin herramientas para inculcar respeto y autoridad’, añadió. ‘Padres y poderes públicos debemos hacer los deberes’, prometió Aznar.

‘Si queremos que nuestros hijos rindan en la escuela es necesario que la institución familiar no abandone nunca su papel educador’. Sobre este tema, el presidente prometió que será ‘machacón’ porque ‘no se puede ser neutral ante la institución familiar’. La familia es ‘el factor que más afecta al rendimiento de los estudiantes, ‘más que la abundancia o escasez de recursos, que los métodos pedagógicos, las tecnologías o la cualificación del profesorado’, dijo.

Así pues, pidió a los padres que afronten esta responsabilidad y les prometió ‘facilidades para escoger el centro que quieran para sus hijos’.

El presidente español coincide con el estadounidense George Bush en la urgencia de iniciar reformas educativas y para España quiere ‘una educación más exigente y rigurosa’, aunque con estudios ‘flexibles que se adapten a las necesidades y capacidades’ de cada estudiante. ‘No creemos en soluciones homogéneas, no todo vale para todos uniformemente y homogéneamente’, dijo Aznar, en una clara defensa de los itinerarios educativos que plantea la reforma del Ministerio de Educación. ‘En otros países europeos se ha demostrado un sistema eficaz para mejorar el ofrecer vías formativas acordes con las motivaciones e intereses’ de cada alumno, señaló. Y puso como ejemplo a Alemania, Italia y Austria. ‘Nosotros seremos los próximos’, dijo.

Alemania e Italia obtuvieron resultados por debajo de España en el último informe educativo PISA. Y ayer mismo, poco antes de que Aznar inaugurara el seminario de la OCDE con la ministra de Educación, Pilar del Castillo, y el director de la división educativa de la OCDE, John Martin, el responsable del informe PISA, Andreas Schleicher, criticó la práctica de separar en itinerarios a los niños a edades tempranas, el modelo alemán.

El presidente español también se refirió a la inmigración, un fenómeno común a las aulas europeas. Consideró necesarios programas especiales que refuercen los conocimientos de los inmigrantes, pero también dijo que ‘tienen derecho a que se les transmitan los valores democráticos de nuestra sociedad’. ‘Lo contrario es condenarles a la marginación física e intelectual’, añadió.

A los estudiantes les pidió esfuerzo y responsabilidad porque, según dijo, ‘hoy se les exige menos que antes y pasan de curso sin asumir los conocimientos mínimos’. ‘El esfuerzo, el trabajo y la dedicación son méritos que deben premiarse’, dijo el presidente. Cree que en la actualidad el sistema está impidiendo a alumnos con capacidades hacer lo que realmente quieren. Por eso defiende que cada alumno ‘tome sus propias decisiones’. ‘En la escuela se juega la partida de la vida y no facilitar aquello para lo que uno está capacitado es cerrarles las puertas’, dijo Aznar, de nuevo en referencia a los itinerarios.

Volver al principio del artículo             Volver al principio de Recortes             Volver al principio
linea.gif (922 bytes)
Vivat Academia, revista del "Grupo de Reflexión de la Universidad de Alcalá" (GRUA).
REDACCIÓN
Tus preguntas y comentarios sobre este Web dirígelos a vivatacademia@uah.es
Copyright © 1999 Vivat Academia. ISSN: 1575-2844.  Números anteriores. Año IV
Última modificación: 14-06-2002