Docencia e Investigación
Arriba Último Nro. Índice Nros. Anteriores Índices Históricos

ISSN: 1575-2844

Revista Vivat Academia

 Histórico Año IV

linea.gif (922 bytes)

Junio 2002. Nº 36

Contenido de la sección:

El concilio de Nicea y las fiestas (Benjamín Hernández Blázquez)
Ecuaciones Diferenciales y Diferencias Finitas (Arturo Pérez París y Julio Gutiérrez)
1. Introducción
2. Paralelismo en la resolución de ecuaciones diferenciales y ecuaciones en diferencias
3. Paralelismo funcional
4. El método de las diferencias finitas
5. Conclusión
6. BIBLIOGRAFÍA
RECORTES
Seis universidades denuncian el ‘caos financiero’ que ha causado Ciencia y Tecnología
FRIEDRICH SCHACHTER : El creador del bolígrafo Bic
Crece un 31% el número de alumnos que elige una universidad privada
Abandono y abandonados
El 27% de los universitarios tira la toalla antes de conseguir su título
El 80% de los superdotados no acaba la enseñanza obligatoria
Bueno, prestigioso, bonito y barato
Las tasas académicas de las universidades públicas podrán subir hasta un 7,6% para el próximo curso
Cuánto cuesta la universidad
«Los mejores profesores de España están en la Pública»

El concilio de Nicea y las fiestas

Benjamín Hernández Blázquez. Universidad Complutense de Madrid.

Lejos de las disquisiciones para ubicar eventos pretéritos, de acuerdo con los almanaques al uso, en el longevo mes de mayo aconteció en Nicea un hecho sin parangón cuyos efectos, casi 17 siglos después, siguen incidiendo significativamente en el devenir de pueblos y personas.

La ciudad turca de Nicea, en la actualidad Iznik, está situada en la margen oriental del lago Arkania; era la vieja Antigonía que el general Lisimaco, en memoria de su esposa llamó Nicea. Sus parajes fueron diagonalizados por san Pablo, y san Lucas escudriñó sus rincones, buscando datos de su Evangelio "en el camino de Bitinia". Niceos, fueron el astrónomo Hiparco y el historiador Dion Casio; numerosas mujeres, griegas o romanas, elegían este nombre que era de ninfa, madre de los sátiros o espíritu del bosque. Hoy conserva una mezquita, anteriormente iglesia que congregó a "lo más escogido de la humanidad cristiana" en el I Concilio Ecuménico.

En este concilio celebrado el año 325 de nuestra era, se elaboró una cronología festiva, que, cada doce meses, dice al mundo cuando cae la Semana Santa, el Carnaval y las otras movibles cristianas, en torno a las que se vertebran los calendarios religiosos, civiles, académicos, laborales, etc. que se basan sustancialmente en estos dictámenes.

El problema que se planteó fue la Pascua de Resurrección que era la principal, como ahora, de las festividades religiosas gobernando el año litúrgico, dado que este acontecimiento, es la piedra sobre la que se levanta el edificio de la Iglesia. Con los primeros pasos del cristianismo, la controversia pascual no se hizo esperar: unos la celebraban el día que cayera, cualquiera de la semana, como los judíos que la festejaban en el equinoccio sacrificando un cordero y así conmemorar la época de la trashumancia. Otros cristianos, los denominados dominicalistas, sostenían que debía hacerse siempre en domingo, día que tuvo lugar la Resurrección del Señor.

En este concilio universal se trató, como "punto del día", de discernir si la liturgia fuera inamovible o tuviera lugar un domingo, haciéndola girar en torno a la fiesta capital. Aunque el cordobés Osio, los dos Eusebios y más de tres centenares de obispos se habían reunido allí para tratar el cisma arriano, leitmotiv de esta magna reunión.

La Iglesia cuenta, desde el inicio cuaresmal hasta el Domingo de Pentecostés, 97 días, con las fiestas más relevantes de la liturgia de todo el año civil dependiendo de su célula generatriz, la Pascua de Resurrección, gozne que sincroniza la vida cristiana. Al variar de un año a otro condiciona todo el calendario y, en él, todas las fiestas denominadas movibles.

El concilio dispuso que la Pascua "sería el primer domingo siguiente a la luna llena que sigue al equinoccio de primavera", es decir, entre el 21 de marzo y 25 de abril. Concilios posteriores en bastantes ocasiones, intentaron cambiar esta decisión, siempre fracasaron. También, como una pieza más del engranaje del sistema, se fijó la verdadera fecha del equinoccio de primavera, el 21 de marzo, en detrimento del día 25 como venía sucediendo desde el siglo I.

Nicea dejó su huella en el resto de las fiestas, vetando a los cristianos su asistencia a encuentros paganos; celebraciones éstas que paulatinamente la iglesia, ya católica, es decir, universal, fue adaptando a su liturgia en sintonía con los ciclos de la naturaleza. Unos años después el papa Liberio decretó el 25 de diciembre como fecha del nacimiento de Cristo; dentro del calendario juliano, vigente en aquella época, las jerarquías eclesiásticas continuaron situando fiestas movibles, aunque encontrando dificultades teológicas, históricas o técnicas. Se consolidó dos siglos después con el Calendario Perpetuo de Dionisio el Exiguo que arrastró errores cronológicos que aun repercuten, sobre todo en el cambio de milenio.

Entonces la Iglesia era notoriamente la heredera designada y natural del Imperio Romano, en pleno colapso; los judíos habían aportado una ética, los griegos la filosofía, y de Roma estaba recibiendo el latín y su espíritu organizativo. Nicea para la Iglesia también fue relevante.

Volver al principio del artículo           Volver al principio

Ecuaciones Diferenciales y Diferencias Finitas

Arturo Pérez París y Julio Gutiérrez. Universidad de Alcalá

1. Introducción
2. Paralelismo en la resolución de ecuaciones diferenciales y ecuaciones en diferencias
3. Paralelismo funcional
4. El método de las diferencias finitas
5. Conclusión
6. BIBLIOGRAFÍA

1. Introducción

En los tres artículos anteriores publicados hemos realizado una exposición sencilla de las propiedades generales de las ecuaciones en diferencias, así como de los métodos más simples empleados en su resolución. Comenzamos por presentar el método estándar de la recurrencia, como criterio general de encontrar soluciones a este tipo de problemas, propios de muchas áreas de la ciencia y la tecnología (Física, Biología, Economía, Ingeniería, etc.), y ligados a la estabilidad, asintoticidad de un comportamiento dinámico, oscilaciones, teoría del control, caos, fractales, etc. (Torres de Hanoi. Vivat Academia nº 30, noviembre 2001). Posteriormente (Ecuaciones en Diferencias: Planteamiento general. Vivat Academia nº 31, diciembre 2001- enero 2002) procedimos a su estudio somero y general, dando los criterios de estabilidad y asintoticidad, así como una serie de pautas para poder manipular adecuadamente las ecuaciones lineales en diferencias.

El método de la recurrencia puede ser muy útil en los casos más simples, sin embargo, en la mayoría de los planteamientos debemos recurrir a otras herramientas con el fin de asegurarnos la obtención de las soluciones, sin hacer uso de complejos y tediosos cálculos. En el artículo anterior (Resolución de las Ecuaciones en Diferencias. Vivat Academia nº 35, mayo 2002) mostramos algunos de estos métodos de resolución. Asimismo, tratamos de familiarizar al lector con los teoremas de existencia y unicidad de las soluciones. Optamos por presentar el método del polinomio característico, también llamado del anulador, por ser el que mejor muestra el paralelismo de estas ecuaciones con las llamadas diferenciales. La presentación se realizó en casos particulares, haciendo uso de ejemplos simples de fácil comprensión, para después llegar a la generalización del método, por ser una forma sencilla de mostrar la teoría de las ecuaciones en diferencias. Sin faltar al rigor matemático, omitimos muchos de los lemas, teoremas y definiciones, habituales en estos casos, para evitar la dispersión de la idea principal, así como el excesivo volumen del trabajo, que harían oscuro al neófito la sencillez de este método.

En los precedentes trabajos, mencionamos que nuestro interés principal residía en la presentación de este tipo de ecuaciones con la intención de exponer finalmente la resolución numérica de ecuaciones diferenciales utilizando el método de las diferencias finitas, íntimamente ligado a las ecuaciones en diferencias estudiadas. Por consiguiente, este último artículo presenta, en primer lugar, el paralelismo entre ambos tipos de problemas, para finalizar estableciendo el llamado método de las diferencias finitas de resolución numérica de ecuaciones diferenciales, así como sus limitaciones.

Volver al principio del apartado             Volver al principio del artículo             Volver al principio

2. Paralelismo en la resolución de ecuaciones diferenciales y ecuaciones en diferencias

Al igual que hemos procedido en los artículos precedentes, abordemos este apartado con el estudio de un caso particular muy simple de ecuación diferencial ordinaria de primer orden, no homogénea, con coeficientes constantes.

Sea una ecuación diferencial de la forma, (consideramos como variable dependiente el tiempo):

y’ - a·y = b

Un método de resolución muy socorrido, idéntico al del anulador para ecuaciones en diferencias, consiste en encontrar las soluciones del polinomio característico. Como se trata de una ecuación inhomogénea, debemos buscar primero la solución general de la parte homogénea, para después encontrar soluciones particulares de la ecuación completa. Así la ecuación homogénea asociada se escribirá:

u’ - a·u = 0

Su solución general se puede obtener utilizando el operador derivada, en este caso con respecto al tiempo, D (análogo al operador diferencia, de igual nomenclatura D, de las ecuaciones en diferencias), así como el operador identidad I. Por consiguiente, la ecuación homogénea anterior se podrá expresar en la forma:

(D – a I) u = 0

Resolviendo el polinomio característico, equivalente a anular el paréntesis de la expresión anterior:

P(r) = r - a = 0 => r = a

que tiene una raíz real y simple, se concluye que la solución general de nuestra ecuación es:

uh = A·er·t

es decir,

uh = A·ea·t

con A una constante a determinar posteriormente, haciendo uso de las condiciones iniciales.

El siguiente paso será obtener la solución particular yp de la ecuación completa, para lo que también podemos utilizar el anulador correspondiente. La ecuación diferencial puede escribirse en términos de operadores como:

(D – a I) y = b

y dado que la derivada de una constante es nula, es decir D b = 0

D b = D (D – a I) y = 0

Al igual que para las ecuaciones en diferencias, las raíces de los polinomios característicos de la ecuación anterior (anuladores), nos proporcionarán la solución (o soluciones) particular de la ecuación completa:

 D (D – a I) yp = 0

Las raíces correspondientes son:

D = a
D = 0

Así, en este caso, una solución particular "yp" se encuentra entre las soluciones de la homogénea, es decir, D = 2 es redundante y, por lo tanto, la solución particular de la ecuación completa será:

yp = A·ea·t + B·e0·t = A·e2·t + B

con B otra constante a determinar. La solución completa será la suma de la solución general de la homogénea uh = A·ea·t y la solución particular de la completa yp = B. Esta suma ha de ser solución de la ecuación de partida

y’ - a·y = b

Por consiguiente, obligando a verificarla:

D (A·ea·t + B) - a (A·e a·t + B) = b

Recuérdese que D es el operador derivada. Por lo tanto:

A a ea·t - a (A· ea·t + B) = b; è B = - b/a

y, finalmente, se obtendrá la solución:

 Si, además, tenemos condiciones iniciales, como p.e. y(0) = c, podría obtenerse el valor del coeficiente genérico "A" :

y(0) = c = A·ea·0 – b/a = c => A = b/a + c

y(t) = uh + yp = (b/a + c)·ea·t – b/a

Nótese que en las ecuaciones en diferencias se emplea el operador de cambio "E", para determinar el polinomio característico, y no el operador diferencia D.

Volver al principio del apartado             Volver al principio del artículo             Volver al principio

3. Paralelismo funcional

Normalmente una ecuación diferencial cualquiera, representa la relación entre una función y(x, y, z ...) de las variables x, y, z,... y las correspondientes derivadas de la función respecto de dichas variables. En estos artículos pretendemos únicamente presentar una introducción a la resolución de ecuaciones diferenciales ordinarias por el método de las diferencias finitas, por ello nos centraremos en las ecuaciones de una sola variable y no estudiaremos los casos posibles de ecuaciones en derivadas parciales.

Consecuentemente, consideremos una función y(x), y sus posibles valores yi en diferentes puntos xi, o lo que es lo mismo, para diferentes valores xi de la variable x, separados entre si una distancia d.

Evidentemente, la representación gráfica de y(x) frente a x supone una curva, que puede aproximarse, en cada valor de la variable x, por el correspondiente desarrollo en serie de Taylor. Ello significa que, conocido el valor de la función en el punto xi, podemos conocer el valor de esa misma función en el punto (xi + e), con e una cantidad muy pequeña, usando el concepto de derivada, en su primer orden y órdenes sucesivos. Así, si llamamos

yi al valor de y(xi)

yi+1, al valor de y(xi+e)

yi-1, al valor de y(xi-e)

yi+2, al valor de y(xi+2e)

yi-2, al valor de y(xi-2e)

y así sucesivamente,

podemos escribir, usando el citado desarrollo en serie de Taylor:

y(xi+e) = yi+1 = yi + e y’i + términos de orden superior en e

donde por y’i entendemos el valor de la primera derivada de la función yi evaluada en el punto xi. Observado la anterior expresión nos daremos cuenta de que tenemos una ecuación en diferencias típica, con el valor de un estado en función del estado en un punto anterior, por medio de una función que es la primera derivada y un parámetro e. Así, en el caso de que la variable x sea el tiempo, tendremos el valor de la función como expresión de su valor en un instante anterior. A título de preparación al tratamiento numérico de las ecuaciones diferenciales, estableceremos, de una forma más sistemática, estas relaciones entre los valores secuenciales de una función y(xi) y sus derivadas calculadas en los puntos xi.

Consideremos, por tanto, un conjunto de valores de la función y(x),
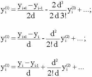
yi = y(xi), evaluados en puntos xi separados espacial y equidistantemente, siendo la separación "d". Utilizando el desarrollo en serie de Taylor, para los valores de la función en torno al punto xi, con yi el valor de la función evaluada en el punto xi obtendremos

Image3.jpg (6631 bytes)

De aquí en adelante, denotaremos la derivada de orden n de la función yi evaluada en el punto xi en la forma yi(n).

De la expresión del desarrollo en serie de Taylor se pueden obtener tres aproximaciones para el valor de la derivada de orden 1, , de la función que nos ocupa. Para ello, en el primer caso, basta con restar las dos expresiones del desarrollo en serie, la de signo positivo y la de sigo negativo. En el segundo caso, se despeja de la ecuación con signo positivo el valor de la derivada y, en el tercero, se utiliza la ecuación con signo negativo para resolver la derivada de primer orden. Es decir:

Image5.jpg (9864 bytes)

La diferencia

 

es llamada aproximación central en diferencias a . El error cometido al utilizar esta expresión es de un valor aproximado de (d2/6)yi(3) (salvo términos de orden superior en d).

La diferencia

es llamada aproximación hacia delante en diferencias a . Es una aproximación más pobre que la anterior, ya que el error cometido al utilizar esta expresión es de un valor aproximado de (d/2)yi(2) (salvo términos de orden superior en d), siempre y cuando el valor de d sea pequeño, por supuesto.

Análogamente, la diferencia

 

es llamada aproximación hacia atrás en diferencias a . El error cometido al utilizar esta expresión es de un valor aproximado igual al caso anterior, pero con signo invertido (salvo términos de orden superior en d) y, claramente, se trata de una aproximación peor que la aproximación central.

Podemos seguir calculando estas aproximaciones para las derivadas de orden superior de y(xi). Por ejemplo, mediante la suma de las expresiones con signo negativo y signo positivo, se consigue una aproximación central para yi(2):

Esta aproximación, conocida como diferencia segunda de y(x), tiene un error aproximado de (d2/12)yi(4).

Obviamente, si la función y(x) es un polinomio de la variable x suficientemente simple, a partir de un orden particular, todas las derivadas se anulan y no es necesario tener en cuenta los errores para obtener los valores de las derivadas a partir de las diferencias.

Volver al principio del apartado             Volver al principio del artículo             Volver al principio

4. El método de las diferencias finitas

Vamos a presentar el método utilizando, como viene siendo habitual en este trabajo, un sencillo caso que dará al lector la pauta a seguir, con el menor número de dificultades posible. Consideremos, pues, una ecuación diferencial ordinaria de primer orden, típicamente representada por

siendo x la variable independiente e y la variable dependiente. Si la ecuación puede resolverse analíticamente, no hay duda de que ese es el mejor método a adoptar. Cuando no se da esta posibilidad, debemos recurrir a las soluciones numéricas. El ejemplo que vamos a mostrar puede resolverse por métodos analíticos simples, sin embargo, para ilustrar la aproximación numérica es útil tener la solución analítica y comparar los resultados con los obtenidos por los métodos numéricos, siempre aproximados.

Un sencillo ejemplo de ecuación diferencial de la clase nombrada en el párrafo precedente y que tiene solución analítica puede ser

y’ = -y

Con la condición inicial y(0) = 1.

Utilizaremos una diferencia finita, de las definidas en el apartado anterior, para determinar de forma aproximada el valor de y’. Si usamos la diferencia hacia delante tendremos

Por consiguiente, la relación de recurrencia, que nos convertirá la resolución de esta ecuación diferencial en la resolución de una típica ecuación en diferencias, será:

siendo "d" la separación entre dos puntos x consecutivos, es decir,

yi+1 = (1-d) yi

x0 = 0

x1 = 0+d

x2 = 0+ 2d

x3 = 0+ 3d

y así sucesivamente.

Si partimos del valor cero para x, a fin de llegar al valor x = 0,5, necesitamos 0,5 = n.d pasos, o valoraciones sucesivas de la recurrencia, con un valor de n igual a 50, cuando elegimos para d el valor de 0,01, o lo que es lo mismo, debemos iterar 50 veces para determinar el valor de y(x=0,5). Cuanto más pequeño sea el valor de d mayor será el número de pasos en la recurrencia pero, dado que el error cometido (ver la sección anterior) crece con alguna potencia de d, será tanto menor, cuanto menor sea d. Esta forma de proceder es conocida con el nombre de método de Euler. En nuestro caso concreto, dada la condición inicial y(0) = 1, tendríamos para un valor de d = 0,01:

y(0) = 1

y(0,01) = 0,99

y(0,02) = 0,99 . 0,99

.

.

.

y(50) = y(x=0,5) = 0,9950 = (1-d)50 y(0)

En la siguiente tabla mostramos los valores de y(x), para la ecuación diferencial anterior, obtenidos usando diferentes valores de d y comparándolos con la solución exacta, posible a través de la resolución analítica de la ecuación que, para la condición inicial indicada, resulta ser:

y(x) = exp(-x)

Tabla de los valores obtenidos para la solución de la ecuación diferencial y’ = -y, con diferentes valores del paso d, utilizando el método de Euler y la diferencia hacia delante así como su comparación con los valores exactos de la solución.

Valores de x

Valores de d

Valores exactos de y(x)

0,01

0,1

0,5

1

0
Condición inicial

 

1

1

1

1

0,5

0,605

0,590

0,500

0

0,607

1,0

0,366

0,349

0,250

0

0,368

1,5

0,221

0,206

0,125

0

0,223

2,0

0,134

0,122

0,063

0

0,135

2,5

0,081

0,072

0,032

0

0,082

La observación de la tabla anterior da suficiente evidencia de que, para obtener una aproximación razonable, han de tomarse valores del paso d muy pequeños. En teoría se podrían tomar valores de d más grandes que la separación entre dos puntos sucesivos, pero, en estos casos, el resultado puede llegar a oscilar e incluso ser divergente. La ecuación asociada en diferencias que da lugar a la recurrencia es de la forma:

yi+1 = l yi

y una condición necesaria para la no divergencia es que el valor absoluto de l sea inferior a la unidad, es decir, d esté comprendido en el intervalo 0<d<2, aunque estos valores no aseguren la precisión.

En parte, estas dificultades provienen de la pobre aproximación que representa la diferencia hacia delante. El valor de la función y(x) se evalúa en x = xi +d/2 para obtener la derivada en el punto x = xi. Podemos usar el llamado método de Milne, consistente en utilizar la aproximación central, que da menores valores para el error.

Algunas dificultades provienen de la propia forma de la ecuación diferencial y no de la aproximación utilizada.

Volver al principio del apartado             Volver al principio del artículo             Volver al principio

5. Conclusión

Con esta entrega damos por terminado el trabajo sobre las ecuaciones en diferencias y su aplicación a la resolución numérica de ecuaciones diferenciales. No hemos descrito otras posibles formas de encontrar soluciones a las ecuaciones en diferencias, lo que dejamos para posibles trabajos futuros, porque es concretamente el método del anulador el que marca con más intensidad el paralelismo entre las ecuaciones en diferencias y las diferenciales, que era nuestro objetivo principal. Tampoco vamos a mencionar otros métodos numéricos que harían excesivamente largo el trabajo.

En el presente artículo hemos mostrado dichas analogías y hemos establecido el llamado método de las diferencias finitas de resolución numérica de ecuaciones diferenciales, así como sus limitaciones, que podemos resumir en:

1) Las aproximaciones dan resultados muy imprecisos en los valores de las derivadas, salvo que se elijan pasos muy pequeños, haciendo el cálculo excesivamente largo en el tiempo.

2) Los errores de redondeo pueden conducir a inestabilidades de la solución numérica (bien oscilaciones, bien divergencias).

Volver al principio del apartado             Volver al principio del artículo             Volver al principio

6. BIBLIOGRAFÍA

-- K. F. Riley, M. P. Hobson y S. J. Vence: "Mathematical Methods for Phisics and Engineering". Cambridge University Press (1997).

-- S. N. Elaydi: "An Introduccion to Difference Equations". Springer (1999).

-- A. K. Dewney.: "Juegos de ordenador". Investigación y Ciencia nº 100 (Enero 1985).

Volver al principio del apartado             Volver al principio del artículo             Volver al principio

RECORTES

Seis universidades denuncian el ‘caos financiero’ que ha causado Ciencia y Tecnología
FRIEDRICH SCHACHTER : El creador del bolígrafo Bic
Crece un 31% el número de alumnos que elige una universidad privada
Abandono y abandonados
El 27% de los universitarios tira la toalla antes de conseguir su título
El 80% de los superdotados no acaba la enseñanza obligatoria
Bueno, prestigioso, bonito y barato
Las tasas académicas de las universidades públicas podrán subir hasta un 7,6% para el próximo curso
Cuánto cuesta la universidad
«Los mejores profesores de España están en la Pública»

Seis universidades denuncian el ‘caos financiero’ que ha causado Ciencia y Tecnología

A. MANRESA. Diario "El País". Palma de Mallorca. Sábado, 11 de mayo de 2002

Los retrasos del Ministerio de Ciencia y Tecnología en los pagos y ayudas a los proyectos de investigación, desarrollo e innovación en las universidades, que alcanzan el 69% del presupuesto destinado a estas partidas en 2001, ‘puede desembocar en el caos financiero y comprometer la calidad del sistema universitario de investigación’

Los retrasos del Ministerio de Ciencia y Tecnología en los pagos y ayudas a los proyectos de investigación, desarrollo e innovación en las universidades, que alcanzan el 69% del presupuesto destinado a estas partidas en 2001, ‘puede desembocar en el caos financiero y comprometer la calidad del sistema universitario de investigación’. Así lo expresaron ayer en Menorca representantes de seis universidades públicas, del Grupo 7, que advirtieron además del riesgo de ‘descapitalización’ de la actividad investigadora de sus centros.

‘Exigimos el pago inmediato de las ayudas’, reseñan en su manifiesto los representantes del G-7 universitario al tiempo que denuncian ‘la deficiente actuación del ministerio’. Esta red sectorial engloba a las universidades públicas y únicas en su comunidad: Oviedo, Cantabria, País Vasco, Pública de Navarra, Zaragoza y la de las Islas Baleares. Las representantes de Extremadura y La Rioja no participaron en la última reunión.

Los centros públicos asumen el adelanto de los pagos que el ministerio no libra y recuerdan que sus normas de gestión como entidades sin ánimo de lucro les impiden endeudarse para superar los desequilibrios generados. Advierten además de que no se pueden agregar obstáculos a su actividad investigadora ya que pueden generar ‘serias repercusiones sobre la generación de nuevos conocimientos y la transferencia de resultados a la sociedad’. En Baleares se calcula que se ha recibido menos del 10% del presupuesto asignado al período ya vencido.

Los equipos científicos trataron además de la acogida que ha merecido el Plan Ramón y Cajal de incorporación de doctores investigadores a las universidades. El vicerrector de Baleares, Eugeni Garcia, detalló que la media de peticiones corresponde a tres interesados por cada plaza asignada. El G-7 de Universidades mantiene desde hace años una transferencia interna sobre los temas de investigación compartida, su comunicación en la red de bibliotecas así como las compras de revistas y publicaciones.

Volver al principio del artículo             Volver al principio de Recortes             Volver al principio

FRIEDRICH SCHACHTER : El creador del bolígrafo Bic

MONICA FOKKELMAN. Diario "El Mundo": miércoles, 29 de mayo de 2002.

l nombre se lo puso un barón francés llamado Marcel Bich, fundador de la compañía Bic, pero su creador fue un talentoso vienés llamado Friedrich Schächter, fallecido en Viena el pasado jueves. El bolígrafo más famoso del mundo, tal y como hoy lo conocemos, nació en su minúsculo y desaliñado taller de la capital austriaca a principios de los años 70 y desarrollaba las ideas de un inventor húngaro llamado Ladislao Biro.

Poco después de la guerra, durante la que hubo de exiliarse huyendo de la invasión nazi, Friedrich Schächter empezó a diseñar un utensilio para escribir que fuera «simple, robusto y, sobre todo, barato».

Así nació en 1971, en su pequeño taller vienés llamado Minitek, la Schreib Kugel (literalmente, la bola de escribir), que desarrollaba industrialmente la invención de Biro en los años 30. La empresa del aristócrata francés no tardó en enterarse. La indudable utilidad del producto y el entusiasmo comercial de la compañía convirtieron pronto la creación de Schächter en uno de los objetos más vendidos del mundo.

El pequeño taller Minitec se convirtió con el paso de los años en una mina gracias al ingenio inventor de Friedrich Schächter y de su equipo. De este pequeño taller, situado en un barrio obrero vienés, salieron también el mechero con el que miles de fumadores encienden hoy aún sus cigarrillos y la cuchilla desechable con la que se afeitan, referencias ambas de consumo barato y práctico que Bic enseguida incorporó a su oferta.

El barón Bich se convirtió pronto en socio de Friedrich Schächter y mandó hacer llegar a su taller vienés los instrumentos de precisión necesarios para la fabricación de estos objetos de éxito fácil y rápido. Bich era el dueño de una fábrica de tinta y, recién acabada la guerra, decidió meterse en el negocio de la papelería y el material de oficina, un sector en el cual hoy vende cada día 21 millones de productos cada día. Un bolígrafo Bic es capaz de trazar una línea de cinco kilómetros de longitud. La bolita por la que se desliza la tinta en su punta está fabricada de tungsteno y mide entre 0,5 y 0,7 milímetros.

El equipo de Friedrich Schächter un grupo de técnicos que sigue trabajando todavía en la capital austriaca tiene hoy en propiedad más de 100 patentes internacionales. La más famosa lleva como número 3.135.231 y fue registrada por la empresa norteamericana Paul C. Fischer con el nombre de «bolígrafo espacial». Se trata del utensilio que utilizan para realizar sus anotaciones científicas los astronautas de la NASA en cada uno de los viajes que realizan al espacio.

Friedrich Schächter fue miembro de honor de la Comunidad de Investigación de Técnicas de Ultraprecisión del Instituto Fraunhofer de Aquisgrán y fue nombrado doctor honoris causa por la Universidad Politécnica de Viena.

La enfermiza obsesión por la perfección de sus utensilios llevó al creador del bolígrafo Bic a tratar de perfeccionar hasta el último momento la punta de un bolígrafo que le dio mucho dinero, pero muy poca fama.

Friedrich Schächter, inventor del bolígrafo Bic, nació en 1924 en Viena, ciudad donde falleció el 23 de mayo de 2002.

Volver al principio del artículo            Volver al principio de Recortes             Volver al principio

Crece un 31% el número de alumnos que elige una universidad privada

PEDRO SIMON . Diario "El Mundo". Sábado 1 de junio de 2002.

MADRID. Proliferaron como setas a la sombra de una legislación propicia y hoy andan por todas partes. Avanzan viento en popa las universidades privadas en nuestro país y buena prueba de ello son las cifras del atracón. Entre 1995 y 2000, el número de estudiantes matriculados en los centros de pago de enseñanza superior aumentó en España en 189.000, un crecimiento del 31,2%...Sobresaliente en marketing.

La cifra procede de la Encuesta de Financiación y Gastos de la Enseñanza Privada 1999/2000 hecha pública ayer por el Instituto Nacional de Estadística (INE).

Según la investigación, Cataluña y Madrid, sedes de casi el 60% de los 128 centros privados que existen, registraron los mejores engordes en lo que a alumnado se refiere.

La encuesta del INE viene a cuento ahora porque cae en mitad del encarnizado debate de la escuela (pública/no pública) y porque da algunas pistas sobre el progresivo arrinconamiento de la educación estatal en nuestro días, incluso en otras esferas. El anuncio de la Ley de Calidad es que se abrirá más la espita de las subvenciones a la etapa infantil.

En el arco preuniversitario, el 58,5% de los ingresos de los centros de enseñanza privada procede exclusivamente de las arcas de la Administración Pública. El 52,3% de estos destinatarios, señala la citada encuesta, está adscrito a algún tipo de institución católica.

Aquí y allá, los centros de enseñanza privada no universitarios siguen gozando de buena salud. Al menos en lo tocante al asunto económico: tres de cada cuatro escuelas no públicas reciben ingresos por conciertos educativos. En el curso 1999/2000, percibieron un total de 2.780 millones de euros (460.000 millones de pesetas) en transferencias procedentes de la Administración central, gobiernos autonómicos y municipales.

Volver al principio del artículo             Volver al principio de Recortes             Volver al principio

Abandono y abandonados

Editorial. Suplemento "Campus". Diario "El Mundo". Miércoles 5 de junio de 2002.

Tras el bautismo universitario, renuncia a las promesas que uno hizo a la llegada del templo del saber. Nada de examen de conciencia, dolor de los pecados ni propósito de enmienda. Pero la estampa del renegón de su credo académico no es tan anecdótica como la presencia, hace medio siglo, de una mujer en otra carrera que no fuera Magisterio. De hecho, el infierno de los descarrilados se encuentra más concurrido de lo que nunca estará la misa de ocho.

Veintisiete de cada cien feligreses de los estudios superiores los abandonan antes de haberse ganado el cielo (en forma de título). El dato alarmante lo ha puesto sobre la mesa el Plan Nacional de Evaluación de las Universidades. Las carreras de Ciencias Experimentales en su ciclo largo (Químicas, Físicas, Matemáticas) y la ingenierías técnicas (Obras Públicas, Agrícolas, Informática, Arquitectura y Teleco) se llevan la palma en abandonos.

Para lo de llegar, ver y desertar, el informe, elaborado por el Consejo de Universidades, no da una explicación. Pero a cambio sí que apunta algunas soluciones factibles, como la necesidad de dedicar una mayor atención a los alumnos antes de su ingreso, durante sus estudios y a la hora de entrar en el mundo laboral. Pero también hay reparto de las culpas: el plan resalta la «pasividad» y «escasa participación» de los estudiantes.

Una participación que, por otro lado, a muchos de los superdotados españoles se les niega al no existir una educación adecuada a sus necesidades. Ellos, probablemente, no engrosarán la lista del fracaso universitario porque muchos se quedan por aburrimiento en el camino.

La evidencia está ahí. Las cifras son tan frías como representativas de lo que ocurre.

Volver al principio del artículo             Volver al principio de Recortes             Volver al principio

El 27% de los universitarios tira la toalla antes de conseguir su título

Ingenieros y científicos son los que más papeletas tienen para dejar la carrera.

JAVIER GOMEZ / JOSE M. ROBLES. . Suplemento "Campus". Diario "El Mundo". Miércoles 5 de junio de 2002.

El 27% de los universitarios españoles padece una curiosa enfermedad: la carreras interruptus. Eso afirma el Plan Nacional de Evaluación de la Calidad de las Universidades, que en su último informe destapa un dato sorprendente: 27 de cada 100 estudiantes universitarios abandona sus estudios.

Los bancos más duros de roer son los de las carreras de Ciencias Experimentales, en su ciclo largo Físicas, Matemáticas, Químicas... . El 43% de los valientes que se adentra en tan tupidos saberes tira la toalla antes de encontrar la solución al problema de cómo seguir aprobando asignaturas.

Las ingenierías también cargan con un pesado fardo, pues el 39% de los matriculados en técnicas de ciclo corto (Obras Públicas, Agrícolas o las técnicas de Informática, Arquitectura y Teleco) le dice adiós a la Universidad antes de tiempo.

Lo contrario ocurre con los ciclos cortos de Ciencias de la Salud, donde sólo el 11% de los matriculados se rinde antes de salir por la puerta con el diploma bajo el brazo.

El plan no descubre las causas del fracaso, pero sí traza posibles soluciones: «Es necesario dedicar mayor atención a la información a los alumnos antes del ingreso en la universidad, durante sus estudios y cuando deban entrar en el mercado laboral». Los alumnos reciben también un recado «por su pasividad y escasa participación».

ULTIMA ETAPA. Este es el último informe del Plan Nacional de Evaluación de Calidad, tal como estaba concebido antes de la LOU (ver apoyo). El proyecto ha examinado el 63% de las titulaciones oficiales y el 90% de las universidades. La lupa del Consejo de Universidades, dependiente del Ministerio de Educación y Ciencia, ha inspeccionado todos los centros públicos y sólo una parte de los privados.

A los universitarios españoles se les hace cuesta arriba el ciclo largo, que cuenta con un 30% de abandono. Los que optan por una titulación de ciclo corto consiguen acabar su carrera con mayor asiduidad el 24% renuncia antes del diploma .

Esbozando un perfil del universitario frustrado, queda claro que la mayoría esconde los libros ya en primer curso. El choque con la universidad es mortal para el 68% de los que se inscriben en los ciclos cortos de Experimentales. O para el 63% de los que estudian una carrera de Humanidades.

Sólo en el ciclo largo de Ciencias de la Salud (Medicina, Farmacia, Odontología...) el abandono tiene lugar, principalmente (68%), en cursos posteriores.

Volver al principio del artículo             Volver al principio de Recortes             Volver al principio

El 80% de los superdotados no acaba la enseñanza obligatoria

Es una minoría la que llega a la Universidad. Las asociaciones exigen más medios para atenderlos

AMAYA GARCIA. Suplemento "Campus". Diario "El Mundo". Miércoles 5 de junio de 2002.

Sergio López Perona es un joven de 19 años que estudia 2º de Políticas y 1º de Derecho en la Complutense. Le encanta salir de marcha y estar con los amigos. Hasta aquí todo normal. ¿Pero qué pasaría si decimos que, además, es superdotado? Por la mente empiezan a desfilar imágenes de teleserie americana: «listillo», «resabido», «impertinente»... Tópicos aparte, salgamos de la pequeña pantalla.

El 80% de los superdotados no termina la enseñanza obligatoria por no haber sido atendidos adecuadamente desde pequeños y sentirse desmotivados, según datos facilitados por la Asociación de Superdotados de Andalucía (ASA). El caso de López Perona es casi una excepción.

A la edad de 11 años, dio la voz de alarma. «Empecé a tener problemas en clase y mis padres me llevaron al psicólogo», recuerda. El test no dejó dudas: el coeficiente intelectual de Sergio superaba la media.

SINTOMAS. «La hiperactividad, la angustia y el aburrimiento ante la repetición de las clases son algunas de los síntomas que se pueden observar en estos chavales», explica Alicia Rodríguez, presidenta de la Asociación Española de Superdotados y con Talento (AEST). Señales que muchos docentes no saben interpretar.

Juan Manuel decidió abandonar los estudios en 3º de ESO. Hoy tiene 19 años y está buscando trabajo. ¿De qué? «De lo que salga». Asegura que no le apetece seguir estudiando: «Es deprimente que te repitan todo el día lo mismo». A los 16 años, un test en el instituto detectó su extraordinaria capacidad. Ya estaba cansado, hastiado de oír lo mismo en las aulas. Los malos resultados empezaron en 6º de EGB.

«Hay casos que tardan años en diagnosticarse», explica Rodríguez. Pero eso no es lo peor. «En vez de cubrir las necesidades educativas, hay quien piensa que la situación se soluciona llevándoles al psicólogo», añade. Hasta ahora, según expone la presidenta de la AEST, lo único que ha hecho la Comunidad de Madrid es poner en marcha un programa de Enriquecimiento Extracurricular, que lleva tres años en marcha.

«Es una forma de darles otras salidas y mejorar el rendimiento», explica Mª Antonia Casanova, directora general de Promoción Educativa de la Consejería de Educación. El programa está abierto a jóvenes de entre 6 y 16 años. «En España no hubo una regulación para tratar a niños superdotados hasta 1996», apunta Casanova. Y, actualmente, «somos la única Administración que abarcamos este campo», concluye. Alicia Rodríguez cree que es insuficiente.

ADAPTACIONES. La ley establece que pueden hacerse adaptaciones curriculares, «una posibilidad que no llega a casi ningún niño», se queja Rodríguez. Los chavales superdotados pueden cursar alguna asignatura de cursos superiores e incluso existe la posibilidad de que se salten algún curso. Sergio pasó de 1º a 3º de ESO. La experiencia, en su caso, fue positiva. «Me cambié de centro y conté con el apoyo de un orientador», recuerda. Juan Manuel no corrió la misma suerte. «Primero me dijeron que podía subir un curso, pero se echaron para atrás», asevera.

Desde la AEST piden que se dé a los profesores una formación obligatoria para saber localizar y tratar estos casos. «Estamos jugando con la salud de estos chavales», recuerda Rodríguez. Y que se ofrezca una educación especial a estos estudiantes.

Santiago tenía 5 años cuando una profesora se percató en clase de su facilidad para aprender. «En Preescolar ya sabía leer», afirma. A partir de ese momento, la vida de este joven de 16 años cambió radicalmente. «Mi madre intentó buscar apoyos y no encontró demasiados», explica.

Este año cursa 4º de ESO y, aunque los resultados no son reflejo de su capacidad, no tira balones fuera. «Me he confiado en exceso», asevera. Tiene especial facilidad para las actividades creativas y le gustaría estudiar Bellas Artes.

Con mejor o peor suerte, estos jóvenes tienen una capacidad intelectual muy superior a la media. Aprovechar estas posibilidades no es una cuestión que dependa sólo de ellos.

Volver al principio del artículo             Volver al principio de Recortes             Volver al principio

Bueno, prestigioso, bonito y barato

JAVIER GOMEZ. Suplemento "Campus". Diario "El Mundo". Jueves 13 de junio de 2002.

En 2001, la Universidad Pública ha visto cómo la lista de sus alumnos adelgazaba, en contraste con la de las privadas. ¿Casualidad?, ¿el inicio de un cambio?, ¿incapacidad para adaptarse al mercado? La pregunta es crucial ahora que, por decirlo así, y gracias al distrito compartido y la caída de la natalidad, la competición entre universidades es libre y enconada.

Los problemas de la pública son numerosos. Lógico: las grandes mansiones, llenas de tradición, siempre esconden algún desconchón de más que los chalets adosados con piscina y pista de tenis. Sus techos son más difíciles y costosos de reparar y cada arreglo significa encontrar algún problemilla añadido. ¿Pero alguien defendería las ventajas de un pisito resultón en ladrillo visto?

Claudio Magris, pensador y escritor (la unión de tan indisoluble dupla suele ser llamada intelectual) italiano, a la sazón que profesor universitario en Trieste, lo resume en una reciente entrevista, publicada en El País: «Para mí, por ejemplo, la Universidad no nace para producir beneficios económicos. Debe funcionar económicamente, pero ése no es su objetivo. Es como una pareja de amantes: tiene que ganar dinero, porque si no, no come y se muere, y entonces no hace el amor, y no es una pareja de amor, pero Tristán e Isolda no se escribe Tristán & Isolda [...] Esta especie de aziendalismo [enpresarialismo] hace que todo se convierta... en nada...».

PARA TODOS. David Chica, del Bloque de Estudiantes de Izquierda (BEI), y uno de los mayores opositores a la LOU, comparte esta visión: «La Pública garantiza un acceso en igualdad de condiciones para todos y supone un derecho a la educación por encima de los recursos de cada uno».

Carlos García Prieto, delegado de alumnos de la Complutense, compara las ventajas de la educación pública con la Sanidad: «Entiendo que, en el día a día, están muy bien las comodidades de una privada, pero cuando tienes algo gordo, quien te resuelve los problemas es la Pública». «Nunca podrás estudiar Filología Hebrea en una privada, porque con ese tipo de carreras ellos no hacen negocio», sentencia.

Gilles Lypovetsky, ensalzador y exponente del pensamiento posmoderno francés, sostiene, en su libro La era del vacío, que «la seducción se ha convertido en el proceso general que tiende a regular el consumo, las organizaciones, la información, la educación, las costumbres». Lo reconocen desde el corazón de la bestia: importa la seducción: el envoltorio atractivo, la imagen epicúrea del Narciso, por más fugaz que resulte, por mucho que las olas de la exigencia la borren en el agua.

«Las privadas cambian el bueno, bonito y barato por caro, muy bonito y, sólo a veces, bueno», sentencia David Chica, quien, además, considera que «la única que asegura unos niveles de investigación adecuados es la Universidad Pública». Daniel López, estudiante de Derecho de la UCM hizo dos cursos en una privada y presidente de ADIU, lo resume en una frase: «La enseñanza pública tiene más calidad y sus títulos son más reconocidos».

¿Es posible imaginar a Kant impartiendo su cátedra en una privada? ¿No le habrían objetado, quizás, que estaba anticuado y no usaba las nuevas tecnologías.

Un delegado de alumnos de una facultad de la Complutense, que pasó sus primeros años universitarios en una privada, recuerda con cierta sorna su primer día de clase de religión. «Nos hicieron salir a la pizarra a ver si sabíamos escribir Mateo, capítulo I, versículos 2 al 5». Risas aparte (aunque lo narrado es totalmente verídico), este mismo estudiante, que prefiere no decir su nombre, considera el mundo de la privada «como un ambiente cerrado para críos».

PLURALIDAD. Daniel A. López, de ADIU, resalta sin dudarlo «la pluralidad ideológica de la Pública, que enriquece la formación universitaria». Carlos García Prieto opta por un argumento directo: «El colegio y que te controlen la asistencia a clase se acaba con 17 años. La Pública es sinónimo de madurez, de buscarte las castañas, de preocuparte por tu formación ».

La Universidad Pública española tira de un pesado grillete histórico. Después de 40 años de vacío intelectual, todavía no hemos rebasado el complejo de que quien no tiene estudios universitarios no encuentra su plaza en la pirámide social.

Los avances tecnológicos comienzan, no obstante, a hacerse hueco en la difícil mentalidad española. Eso y la caída de la natalidad ayudarán a que la Pública solvente su mayor inconveniente: la masificación.

El segundo es que la futura Agencia Nacional de la Calidad pondrá a cada uno en su sitio: quien no pase los 45 criterios que se imponen a cada titulación, no verá el apellido «oficial» en su título.

La LOU ha localizado la mayoría de los problemas de la Universidad Pública. De su capacidad para resolverlos depende en buena medida que la educación superior estatal siga siendo la mejor en España.

Volver al principio del artículo             Volver al principio de Recortes             Volver al principio

Las tasas académicas de las universidades públicas podrán subir hasta un 7,6% para el próximo curso

PEDRO SIMON. Diario "El Mundo". Jueves 13 de junio de 2002.

MADRID. Inflación a la vista en el campus: las tasas universitarias podrán subir hasta un 7,6% el próximo curso. Así se acordó ayer en la sesión constituyente del nuevo Consejo de Coordinación Universitaria (CCU), el máximo organismo consultivo de nuestra enseñanza superior.

Según lo aprobado, además de la subida mínima del 3,6% (el aumento porcentual del Indice de Precios al Consumo entre abril de 2001 y 2002), las comunidades autónomas podrán incrementar el precio hasta cuatro puntos más. ¿Alguien se atreve a ponerle el cascabel al gato del alumnado?

A un lado el espinoso tema de las tasas, el CCU despachó además en su primer pleno dos proyectos: el del real decreto del nuevo sistema de habilitación del profesorado y el relativo a la Agencia Nacional de Evaluación de la Calidad y Acreditación.

Como principal novedad, las comisiones que han de realizar las pruebas de habilitación al cuerpo de funcionariado docente estarán formadas por siete miembros elegidos por sorteo; los catedráticos que formen parte de estas comisiones deberán contar con 12 años de actividad investigadora evaluados positivamente; los profesores titulares y catedráticos de escuelas universitarias, con seis.

Por otra parte, el Ministerio de Educación remitió ayer al Consejo de Estado el documento definitivo de la Ley de Calidad, en el que se recogen las enmiendas que se han aprobado tras el trámite del Consejo Escolar del Estado. Algunas de las novedades, el establecimiento de programas específicos para la población inmigrante adulta, la reducción de la jornada lectiva (para desempeñar otras funciones en el centro) de los profesores mayores de 55 años sin reducción de salario o la posibilidad de participación de los directores de los centros concertados en órganos de carácter consultivo como el Consejo Escolar del Estado.

Al hilo de la reforma, la izquierda educativa convocará en octubre una jornada de huelga general en la enseñanza que coincidirá con la tramitación parlamentaria de la ley. Así lo anunciaron CCOO, UGT, STES y CGT; las asociaciones de alumnos CANAE, FAES y Sindicato de Estudiantes, y la confederación laica de padres CEAPA.

Volver al principio del artículo             Volver al principio de Recortes             Volver al principio

Cuánto cuesta la universidad

EDITORIAL. Suplemento "Campus". Diario "El Mundo". Jueves 13 de junio de 2002.

Es el mismo debate de todos los cursos. Las tasas suben cada año por encima del IPC, y este aumento provoca malestar (cuando no indignación) en los usuarios. Ayer, el Consejo de Coordinación Universitaria, en su primera reunión como sustituto del Consejo de Universidades, aprobó una subida de tasas de entre el 3,6% y el 7,6%, una horquilla que cada comunidad autónoma utilizará según sus necesidades. O sea, que se puede dar el caso de que Madrid se ajuste al mínimo (así lo deseamos los madrileños) y que otra región, seca de fondos, suba las matrículas el temido 7%. Difícil digestión para un ciudadano (estudiante o padre) que goza de subidas salariales de entorno al 2%, objetivo anual de inflación del Gobierno.

Ya sabemos que la enseñanza universitaria en este país es barata. Que entre el sistema de exención de tasas y becas es muy difícil que alguien se quede fuera del campus. Que con las tasas pagamos sólo un 18% del coste real de la enseñanza. Pero nuestros precios públicos de la universidad deben verse como una ventaja de la sociedad española, no como un anacronismo del que debemos desprendernos para converger con Europa. Antes de los precios, los estudiantes y los profesores sienten (o padecen) otros muchos aspectos en los que converger: en inversiones, en ayuda a la investigación, en infraestructuras, en bibliotecas... en sueldos, dirían los docentes y el personal laboral. Son sólo unos apuntes. Ni queremos plantear un discurso demagógico de reclamaciones sempiternamente insatisfechas, ni un debate comparativo de cifras, donde, como en Eurovisión, a veces nos conformamos con vernos por delante de Grecia y Portugal.

El Gobierno madrileño tiene que estudiar las necesidades de financiación de la capital universitaria española. Pero no debe recaer más en los bolsillos de los ciudadanos su mantenimiento.

Esperamos (y así lo creemos) que la subida en nuestra comunidad sea más cercana al 3,6% que al 7%.

Volver al principio del artículo             Volver al principio de Recortes             Volver al principio

«Los mejores profesores de España están en la Pública»

Suplemento "Campus". Diario "El Mundo". Jueves 13 de junio de 2002.

Enrique Gimbernat, catedrático de Derecho Penal en la Complutense, opina que «la Universidad Privada no se puede permitir perder dinero». «En la educación universitaria», matiza, « hay cosas que no son rentables pero son importantes para la sociedad; la Pública, que no es un negocio, sí puede afrontarlas».

La retahíla de siempre ensalza los medios técnicos de las privadas. Enrique Gimbernat precisa esta idea y demuestra que la palabra «medios», en la educación superior, no significa siempre ordenadores: «Los medios no se improvisan, y la Pública tiene mejores laboratorios, hospitales, mejores investigaciones, estudios y también fondos bibliográficos inigualables. Todo esto influye, y mucho, en la formación de los alumnos».

El catedrático Enrique Gimbernat subraya, además, el carácter «interclasista» de la universidad estatal: «Refleja mejor a la sociedad porque en las aulas hay clases altas, bajas y medias».

Gimbernat no pasa por alto tampoco la cuestión del profesorado: «Los docentes de la pública deben pasar unos tribunales y unos criterios, y en la privada no. Por eso los mejores de España, en todas y cada una de las áreas, están en la educación pública».

Volver al principio del artículo             Volver al principio de Recortes             Volver al principio
linea.gif (922 bytes)
Vivat Academia, revista del "Grupo de Reflexión de la Universidad de Alcalá" (GRUA).
REDACCIÓN
Tus preguntas y comentarios sobre este Web dirígelos a vivatacademia@uah.es
Copyright © 1999 Vivat Academia. ISSN: 1575-2844.  Números anteriores. Año IV
Última modificación: 10-07-2002