Docencia e Investigación
Arriba Último Nro. Índice Nros. Anteriores Índices Históricos

ISSN: 1575-2844

Revista Vivat Academia

Histórico Año V

linea.gif (922 bytes)

Febrero 2003. Nº 42

Contenido de esta sección:

Esperar a los Reyes (Benjamín Hernández Blázquez)
El tiempo de la Naturaleza (Benjamín Hernández Blázquez)
Enseñando a pensar (Romanworld)
Riesgos eléctricos (Arturo Pérez París)
Introducción
Factores de riesgo
Medidas de seguridad
Primeros auxilios
Dedicatoria
RECORTES
La LOCE entra en vigor

Esperar a los Reyes

Benjamín Hernández Blázquez. Universidad Complutense de Madrid.

La llegada de los Reyes marca el último latido festivo que se inició con el solsticio del ya año pretérito; son fiestas de registros contradictorios: positivo y negativo, anverso y reverso, opulencia y pobreza. Alumbrados irregulares, villancicos que atronan ciudades y pueblos, perdida la armonía que el consumo convierte en absurda frivolidad. Existe la vocacional bondad que pretenden simbolizar las Navidades, todo en una sociedad donde cotidianamente se saturan las páginas de los diarios con toda la gama imaginable de decesos: enfermedades evitables, depauperados, violencia....; se pregona la alegría como si fuéramos adalidades de arcángeles. El consumo exacerbado, denominador común de todo lo anterior, alcanza su cenit el día de la Epifanía del Señor, ningún momento es tan apropiado para la misantropía, se ha tipificado a los Reyes como paradigmas del regalo propiciatorio.

El antecedente más próximo al regalo es el aguinaldo de Navidad, que hace unas décadas se practicaba con fruición. Tradicionalmente los servidores públicos más cercanos: cartero, basurero, sereno fueron los precursores en recibir una muestra de agradecimiento en forma de propina, a cambio de felicitar las Pascuas a quienes servían. Pero las raíces del regalo son tan antiguas como la civilización, variando según el tiempo y el espacio que lo rodeaba. Desde los albores de la época judeo cristiana en que cobró un valor especial al ser considerado como símbolo altruista, como acto espontáneo de desprendimiento, hasta la fecha, ha tenido su propia idiosincrasia. En la Roma imperial, el mero hecho de no hacer regalos en días señalados se consideraba de mal augurio; en tiempos actuales, los Reyes desde la entrega hace milenios de presentes, hacen su entrada triunfal en el reino del consumismo, que algunos consideran inevitable.

Los Reyes Magos, como la Epifanía del Señor, están rodeados de un halo de misterio, y no sólo para los niños, que aun les quedan algunos años para despejar su enigma particular con la súbita aparición de regalos en la habitación. Como muchas otras conmemoraciones, es una fiesta pagana, de orígenes inciertos y confusos, más remotos que el cristianismo, aunque no coincidieran las fechas. Epifanía significa manifestación de algo; casi siempre del Sol o de algún otro astro relevante sobre el devenir de la colectividad. Como en el milenario Egipto, que se correspondía con el día de la "manifestación del nuevo sol, fuente de la vida".

En el mundo cristiano occidental, inmerso en el oscuro Medievo, y bajo la influencia de los monjes de Cluny, llegaron a España una serie de autos litúrgicos que representaban estampas y visiones sobre el ciclo de Navidad; todos arraigaron con fuerza dada la avidez del pueblo, rudo y analfabeto, por acercarse a los misterios de manera sencilla. Con el estreno en Toledo del Auto de los Reyes Magos, pieza teatral en romance, su culto se propagó por los reinos españoles como un meteoro.

La festividad fue cambiando al ritmo de la historia y sufrió las influencias italianas en tiempos borbónicos, adquiriendo matices carnavalescos y emparentándose en algunos lugares con la denominada "fiesta de los locos" o "todo vale". El costumbrista Mesonero Romanos, a la sazón escribía: "esta noche propiciaba juegos populares extravagantes, soeces y propios de irracionales costumbres". Todo implicaba un enorme desenfreno ciudadano saturado de personas trafalmejas y zafias. Cuando a principios del siglo pasado, desapareció aquel vetusto y, con frecuencia, brutal hábito popular de "esperar a los reyes" en una u otra entrada de la ciudad, nació la de las comitivas o cabalgatas, enfiladas primeramente a entregar donativos a los centros de beneficencia que estuvieran allí registradas. Los roscones, vacíos o con nata y otros dulces de forma alusiva a la localidad, datan de la época morisca, aderezados con especies del lugar para adquirir espíritu propio.

Al margen de lo folclórico, se van acumulando muchas historias, leyendas, tradiciones, cada una con sus respectivas incógnitas. Así, no se fijó el número de tres reyes hasta mitad del siglo V por el papa León, fundado en los tres presentes que regalaron al Niño, según el Evangelio; los apelativos que ahora parecen clásicos, no aparecerían hasta el siglo siguiente, y Baltasar no fue como el betún hasta la Edad Moderna; antes de esta época no aparece caracterizado así, en ninguna representación artística, aunque los hagiógrafos destacan su tez oscura.

En el país de medos y persas, los magos no eran reyes, eran los consejeros y los señores de los reyes, así como interpretes de sus sueños. Simbolizaban el espíritu, en medio de las guerras y el materialismo; su distintivo fue la generosidad y la magnificencia. Dos milenios han transcurrido desde entonces, poco queda de su simbolismo en unos tiempos en los que la competitividad aniquila la solidaridad convergiendo en consumismo en estado puro.

Volver al principio del artículo             Volver al principio

El tiempo de la Naturaleza

Benjamín Hernández Blázquez. Universidad Complutense de Madrid.

El ansia de novedad y la bulimia de lo distinto son, en cierto modo, factores propios de sociedades consumistas, pero también de las otras, más antiguas. Por todo, cuando el año civil inicia su trayectoria, el espacio social se satura de videntes y futurólogos, magos y hechiceros; adivinadores en general, todos en busca del pleno, sólo algunos incidirán o se aproximarán en la siempre volátil diana. Guerras, tratados y economía, pero sobre todo el tiempo, lo que meteorológicamente acontecerá en el devenir de las estaciones, son los temas protagonistas y de jerarquía consumada.

Empero los hispanohablantes aunamos en un mismo vocablo el tiempo meteorológico y el cronológico, el inglés emplea weather versus time; el alemán wetter y zeit, y los nórdicos väder frente a tid; es decir, diferencian claramente estos conceptos, o tienden a ello. Escritores clásicos y filósofos hablan de lo que "destruye las cosas", tal vez nos quedemos sin saber si el ejecutor es el tiempo de la naturaleza, o el de la vida. De cualquier manera, la previsión meteorológica implica riesgos diversos, que los científicos van minimizando; a ella se han referido al enunciar que, este año, la temperatura media terrestre subiría medio grado celsius, todo un registro. Abundando en este asunto, un científico ruso del siglo pasado escribía; "Nada tendría el hombre que pedirle a Dios, si supiera predecir correctamente el tiempo".

La predicción del tiempo, dicen los meteorólogos, depende de la fiabilidad, del plazo de validez y de la minuciosidad requerida; todas estas variables sincronizadas de tal modo que el aumento de una se gesta en detrimento de la otra. Además, este espacio científico no podía sustraerse a los errores o falacias, que acontecen en todas las épocas y lugares, aunque se acote lo anterior. Se gestan por la propia naturaleza de la circulación general de la atmósfera, "que aparentemente, tiene la libertad de tomar distintos estados dentro de un mismo juego de condiciones restrictivas, a los factores que la gobiernan". Por eso, últimamente en Madrid, muchos vecinos estuvieron con la vista en el cielo, a la espera de ver caer copos de nieve, todo ello con la alerta actividad en previsión de una gran nevada, puro fiasco al final. O lo acontecido en el sureste de Salamanca el último día del año 1998 que en escasas horas, la nieve aisló pueblos, inmovilizó vehículos y colapsó toda la zona. En casos como éstos, el pronóstico erró sustancialmente, y sólo "a posteriori" se ponderó debidamente el azar.

Los saltos más cualitativos en la predicción atmosférica, se fraguaron después de la Segunda Gran Guerra con la introducción de modelos de simulación en potentes ordenadores, aunque sigue siendo básico el análisis y comparación de ciclos pasados. Así, en los inicios del siglo XX , en periodo idéntico al actual, en España se mantuvo similar la tónica que caracterizó los últimos años de la anterior centuria, marcada por acontecimientos que fueron noticia en la prensa diaria, tales como las inundaciones y turbonadas del sur de la península y Cataluña. Aunque lo más significativo de este pretérito período, fueron las grandes nevadas registradas en Castilla que "llegó la nieve a alcanzar un espesor de metro y medio en parques y paseos, careciéndose de noticias que antes hubiese ocurrido cosa semejante y, que por supuesto no ha vuelto a repetirse".

Los primeros inviernos del siglo pasado fueron en conjunto relativamente fríos y poco lluviosos, siendo destacable la escasa frecuencia de días calurosos en el estío. El resto de las estaciones, asimismo, destacaron por ser más frías de lo considerado normal; no faltaron las olas de muy bajas temperaturas como "las invasiones de aire polar marítimo del noroeste, de 1903 y 1906, y de las de aire polar continental del noreste de los años 1902 y 1903".

Con cierta frecuencia sucedieron tormentas y trombas de agua, casi siempre aisladas y sin conexión geográfica que destruyeron viviendas, puentes y cosechas: Segovia, Zaragoza y Badajoz. También el Instituto Nacional de Meteorología destaca los temporales de viento del suroeste y noroeste que afectaron a la mayor parte de la península asolando comarcas enteras, sólo superados por los que soplaron en febrero de 1941, "tal vez los más violentos de este siglo".

Tiempo y clima han estado siempre presentes en el devenir humano, siendo factores causales relevantes: "que a todos da gustos y a todos da sustos" o "el tiempo da rosas y después del calor, nevar y llover, las vuelve a traer".

Volver al principio del artículo            Volver al principio

Enseñando a pensar

Romanworld

Sir Ernest Rutherford, presidente de la Sociedad Real Británica y Premio Nobel de Química en 1908, contaba la siguiente anécdota:

Hace algún tiempo, recibí la llamada de un colega. Estaba a punto de poner un cero a un estudiante por la respuesta que había dado en un problema de física, pese a que éste afirmaba con rotundidad que su respuesta era absolutamente acertada. Profesores y estudiantes acordaron pedir arbitraje de alguien imparcial y fui elegido yo.

Leí la pregunta del examen y decía: "Demuestre cómo es posible determinar la altura de un edificio con la ayuda de un barómetro".

El estudiante había respondido: "lleva el barómetro a la azotea del edificio y átale una cuerda muy larga. Descuélgalo hasta la base del edificio, marca y mide. La longitud de la cuerda es igual a la longitud del edificio".

Realmente, el estudiante había planteado un serio problema con la resolución del ejercicio, porque había respondido a la pregunta correcta y completamente.

Por otro lado, si se le concedía la máxima puntuación, podría alterar el promedio de su año de estudios, obtener una nota más alta y así certificar su alto nivel en física; pero la respuesta no confirmaba que el estudiante tuviera ese nivel.

Sugerí que se le diera al alumno otra oportunidad. Le concedí seis minutos para que me respondiera la misma pregunta pero esta vez con la advertencia de que en la respuesta debía demostrar sus conocimientos de física.

Habían pasado cinco minutos y el estudiante no había escrito nada. Le pregunte si deseaba marcharse, pero me contestó que tenia muchas respuestas al problema. Su dificultad era elegir la mejor de todas. Me excuse por interrumpirle y le rogué que continuara.

En el minuto que le quedaba escribió la siguiente respuesta: coge el barómetro y déjalo caer al suelo desde la azotea del edificio, calcula el tiempo de caída con un cronómetro. Después se aplica la formula altura = 0,5 por A por T2. Y así obtenemos la altura del edificio. En este punto le pregunté a mi colega si el estudiante se podía retirar. Le dio la nota más alta.

Tras abandonar el despacho, me reencontré con el estudiante y le pedí que me contara sus otras respuestas a la pregunta. Bueno, respondió, hay muchas maneras, por ejemplo, coges el barómetro en un día soleado y mides la altura del barómetro y la longitud de su sombra. Si medimos a continuación la longitud de la sombra del edificio y aplicamos una simple proporción, obtendremos también la altura del edificio.

Perfecto, le dije, ¿y de otra manera? Si, contestó, este es un procedimiento muy básico para medir un edificio, pero también sirve. En este método, coges el barómetro y te sitúas en las escaleras del edificio en la planta baja. Según subes las escaleras, vas marcando la altura del barómetro y cuentas el número de marcas hasta la azotea. Multiplicas al final la altura del barómetro por el número de marcas que has hecho y ya tienes la altura del edificio. Éste es un método muy directo.

Por supuesto, si lo que quiere es un procedimiento más sofisticado, puede atar el barómetro a una cuerda y moverlo como si fuera un péndulo. Si calculamos la diferencia entre los periodos medidos cuando el barómetro está en la azotea y cuando está a nivel del suelo, aplicando una sencilla fórmula trigonométrica, podríamos calcular, sin duda, la altura del edificio.

En este mismo estilo de sistema, atas el barómetro a una cuerda y lo descuelgas desde la azotea a la calle. Usándolo como un péndulo puedes calcular la altura midiendo su periodo de precesión. En fin, concluyó, existen otras muchas maneras. Probablemente, la mejor sea coger el barómetro y golpear con él la puerta de la casa del conserje. Cuando abra, decirle: señor conserje, aquí tengo un bonito barómetro. Si usted me dice la altura de este edificio, se lo regalo.

En este momento de la conversación, le pregunté si no conocía la respuesta convencional al problema (la diferencia de presión marcada por un barómetro en dos lugares de alturas diferentes nos proporciona la diferencia de altura entre ambos lugares). Evidentemente, dijo que la conocía, pero que durante sus estudios, sus profesores habían intentado enseñarle a pensar.

El estudiante se llamaba Niels Bohr, físico danés, premio Nobel de Física en 1922, más conocido por ser el primero en proponer el modelo de átomo con protones y neutrones y los electrones que lo rodeaban. Fue fundamentalmente un innovador de la teoría cuántica. Al margen del personaje, lo divertido y curioso de la anécdota, lo esencial de esta historia es que LE HABÍAN ENSEÑADO A PENSAR.

Volver al principio del artículo             Volver al principio

Riesgos eléctricos

Arturo Pérez París

Introducción
Factores de riesgo
Medidas de seguridad
Primeros auxilios
Dedicatoria

Introducción

Cuenta la historia que, hacia finales del siglo XVIII, existía un gremio llamado de los electricistas. Hablamos de los tiempos de Franklin. Estos electricistas tenían poco que ver con los actuales profesionales, así como el concepto de átomo que tenían los griegos poco se asemeja al nuestro. Uno de los requisitos para entrar en este gremio era, a forma de prueba iniciática, notar el "sabor" de la electricidad a través de una descarga eléctrica. Afortunadamente, estas prácticas están hoy en día en desuso. De otra forma, más de uno o una en mi profesión hubiera salido mal parado, o quizás, quién sabe, se le habrían curado todos los males o, cuando menos, algunos.

Bromas aparte, la electricidad es la más poderosa fuente de energía de la que disponemos en la actualidad; ya sea de forma directa, ya sea transformada, llega a todos los lugares y difícilmente podemos encontrar algún caso en el que no se tenga una relación o dependencia directa con ella.

El motivo de la redacción del presente artículo responde a la necesidad de exponer estos riesgos, no para que temamos a esta maravillosa fuente energética, sino más bien para que la respetemos. Debemos tener en cuenta que el agua es un excelente conductor de la electricidad y, dado que el ser humano tiene en su composición un porcentaje aproximado al 80 % de su peso en forma de agua, resulta obvio pensar que esté expuesto a un sin fin de riesgos derivados de la manipulación y contacto con la electricidad.

Para obtener una idea de su peligrosidad, podemos indicar que por cada 200.000 habitantes se produce un accidente mortal, debido a la electricidad. Aun así, es una cantidad cincuenta veces inferior al índice de accidentes de tráfico en un núcleo también de 200.000 habitantes. En el mundo laboral, los accidentes eléctricos suponen el 0,35 % de los accidentes que causan baja laboral, el 0,90 % de los accidentes que implican incapacidad permanente y el 4% de los accidentes mortales.

Volver al principio de la sección             Volver al principio del artículo             Volver al principio

Factores de riesgo

Son muchos los factores que influyen en el ser humano que sufre un accidente laboral por una descarga eléctrica. Entre ellos, los más comunes son los siguientes:

- Intensidad de la corriente.
- Tensión o voltaje de la corriente.
- Resistencia del cuerpo humano al paso de la corriente.
- Frecuencia de la corriente.
- Tiempo de exposición o de contacto.
- Trayectoria del paso de la corriente por el organismo.
- Tipo de corriente.
- Sexo del accidentado.

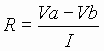
Es la conocida ley de Ohm, la que nos va a explicar la importancia de estos factores:

Para una Resistencia que se suponga constante, la Intensidad de la corriente que pasa entre dos puntos de un conductor es directamente proporcional a la diferencia de potencial (tensión) entre esos dos mismos puntos.

Donde:

I = Intensidad de la corriente, medida en amperios.

Va - Vb = Tensión o diferencia de potencial medida en Voltios.

R = Resistencia, medida en Ohmios.

La intensidad de corriente es el factor verdaderamente peligroso en un accidente eléctrico; podríamos decir que es la que mata. Junto con el tiempo de contacto, es quizá el factor más importante de los reseñados con anterioridad. A partir de 0,01 Amperios, es peligrosa y resulta mortal a partir de 0,10 Amperios. En cantidades intermedias puede producir desde contracciones musculares, hasta fibrilación ventricular, pasando por estadios intermedios de parálisis temporales, tanto cardíacas como respiratorias

fig1.jpg (27879 bytes)

Podemos determinar como umbral de percepción de la corriente, 0,003 Amperios, ya que, con cantidades inferiores a ese valor, el contacto eléctrico puede ser perfectamente soportado sin peligro alguno.

La tensión o voltaje de la corriente depende fundamentalmente de las características de la instalación. En general, podemos decir que existirá un riesgo mayor cuanto mayor sea la tensión, atendiendo a la Ley de Ohm, dada que la resistencia de nuestro cuerpo se mantendrá más o menos constante y, por tanto, a mayor tensión, mayor corriente.

La resistencia es un factor de gran variabilidad. Ésta puede variar en el ser humano entre los 500 y 100.000 Ohmios, considerando como cantidades normales los comprendidos entre 1.000 y 2.000 Ohmios. Estas diferencias están en función de las características fisiológicas del cuerpo humano, por lo que varía de unas personas a otras, no pudiéndose dar unas cantidades idénticas para todos los casos.

La resistencia de contacto de la piel es muy variable así lo indican estudios estadísticos que han demostrado que, de cinco accidentes eléctricos, tres tienen lugar a lo largo de los cinco meses más calurosos del año. También se ha determinado que una piel seca puede presentar una Resistencia de algunos cientos de miles de Ohmios, mientras que en casos de máxima sudoración, ésta baja hasta los 1.000 Ohmios escasos.

La resistencia de los tejidos internos del cuerpo humano también varía, ya que está en función del recorrido que la corriente realice por el mismo; no obstante, este valor puede calcularse entre valores comprendidos de 100 a 5.000 Ohmios.

Si relacionamos la tensión de la corriente con la Resistencia del cuerpo humano, vemos que ésta fluctúa en función de aquélla; como ejemplos podemos dar las siguientes cantidades:

Tensión
(Voltios)

Resistencia
(Ohmios)

24

10.000

65

3.000

150

2.000

A partir de esos últimos 150 Voltios, la resistencia es prácticamente constante hasta que se produce la herida en la piel, ya que, a partir de ese momento, la resistencia que ofrece el cuerpo humano es la que ofrecen los tejidos internos, como hemos comentado anteriormente.

Vamos a considerar un ejemplo sencillo de aplicación de la ley de Ohm, en el que, manteniendo una tensión constante, y variando la resistencia del cuerpo, se producen intensidades diversas. De esta manera, la gravedad del accidente, resultante del contacto eléctrico, estará en función de la resistencia óhmica que opongamos; así podemos deducir las condiciones de seguridad que debería reunir cualquier persona al realizar su trabajo sin riesgos de electrocución. Vamos a suponer una Tensión de 220 Voltios, que es la más comúnmente utilizada:

TENSIÓN
(Voltios)

RESISTENCIA
(Ohmios)

INTENSIDAD
(Amperios)

CALIFICACIÓN

220

1.000

0,22000

Mortal

220

10.000

20.000

0,02200

0,01100

Grave

220

30.000

40.000

50.000

60.000

70.000

0,00733

0,00550

0,00440

0,00366

0,00314

Tolerable

220

75.000

80.000

90.000

100.000

0,00293

0,00275

0,00244

0,00220

Sin peligro

Del estudio de este cuadro concluimos que, para una tensión de 220 Voltios, deberemos ofrecer una resistencia mínima de seguridad superior a los 75.000 Ohmios, que sólo será alcanzada por personas de mínima sudorización y de piel resistente (es decir, que tengan callosidades) con un sistema nervioso equilibrado y que no sufra ninguna enfermedad crónica en las vísceras fundamentales. Si esto no es así, deberá protegerse bien con prendas de protección personal homologadas (como guantes, botas, etc.) o bien aislarse del suelo mediante banquetas o alfombrillas aislantes.

Observamos también, corroborando lo anteriormente expuesto, que con el aumento de la resistencia va disminuyendo el peligro y, dado que cuando se manipule un circuito eléctrico normalmente no podrá actuarse sobre el voltaje, ya que éste será constante, nuestra actuación deberá estar encaminada, casi de forma exclusiva, a aumentar la resistencia del cuerpo humano para que, de esta forma, disminuya la intensidad, reduciendo así el peligro de electrocución.

Otro factor a tener en cuenta es la frecuencia de la corriente. En España es frecuente una frecuencia de 50 ciclos por segundo (Hercios), aunque aumenta en algunas ocasiones, como por ejemplo, en aparatos médicos que llega a los 1.000 ciclos por segundo. A medida que la frecuencia aumenta, la corriente se hace menos peligrosa ya que se produce el llamado efecto pelicular (la corriente circula, preferentemente, por la superficie de la piel sin penetrar en órganos internos).

El tiempo de exposición es otro de los factores fundamentales en la peligrosidad de las descargas eléctricas, dado que la intensidad, antes comentada, tiene un carácter acumulativo, y de ahí la relación con el tiempo durante el cual esa intensidad actúa sobre el cuerpo humano. Éste admitirá menor Intensidad, cuanto mayor sea el tiempo de exposición. La Organización Internacional del Trabajo (O. I. T.), con sede en Ginebra, marca la Intensidad que puede admitir el ser humano, medida en miliamperios (mA), mediante la fórmula:

siendo "t" un valor siempre inferior a los 3 segundos.

El riesgo mayor al que se somete al ser humano, al contacto con la electricidad, es el de la fibrilación cardiaca, que suele ser mortal, si no se actúa con rapidez sobre el paciente, efectuándole una correcta recuperación cardiorrespiratoria. La fibrilación ventricular consiste en una serie de contracciones totalmente arbitrarias que realiza el músculo cardiaco. Existe una relación entre el tiempo de exposición a la corriente y la Intensidad, lo que da como resultado la fibrilación. Se podrá producir fibrilación ventricular, si el tiempo de exposición a una corriente eléctrica se mantiene a lo largo de un periodo cuya duración mínima sea inversamente proporcional a la intensidad de la corriente. Las cifras que se barajan en este sentido varían, según la investigación consultada sobre este tema, pudiendo aceptarse como válidas las que a continuación exponemos:

Corriente
(miliamperios)

Tiempo
(segundos)

15

120

20

60

30

35

50

2

100

1,5

500

0,11

1.000

0,03

Se considera que no existe fibrilación a nivel general, cuando el tiempo de exposición es inferior a 0,2 segundos. Este tiempo se considera, a su vez, inferior al correspondiente entre dos sístoles consecutivas, es decir, en diástole, pero debe tenerse en cuenta que, si es coincidente con la llamada «fase crítica», sí puede existir fibrilación, tal y como se muestra en la Fig. 2. Esto se ha podido determinar a través de diversas experiencias realizadas por entidades competentes.

fig2.jpg (29862 bytes)

Además de lo ya expuesto, un factor primordial a tener en cuenta es la trayectoria del paso de la corriente por el organismo. Ésta es un factor influyente en la gravedad de la lesión. Se considera que la gravedad es máxima cuando el recorrido pasa a través de vísceras fundamentales del cuerpo humano, como pueden ser el corazón, el cerebro, etc. La confirmación de este hecho viene determinada por el conocido experimento de Weis. Consiste en la siguiente prueba: A un perro de consistencia media se le hizo pasar una corriente de 400 mA entre el maxilar inferior y el cráneo, sufriendo una parada respiratoria de la que se recuperó con facilidad. Más tarde se le hizo pasar la misma Intensidad de corriente, pero variando los puntos de contacto, haciéndola circular entre el cráneo y una de sus patas; en esta ocasión, el animal murió de forma instantánea por fibrilación. Aunque este experimento sea una completa salvajada, podemos concluir que los recorridos más peligrosos de la corriente eléctrica en el cuerpo humano son los que ponen en contacto una de las manos con la cabeza, o bien con el pie contrario; o bien la corriente entra por una de las manos, atraviesa el tórax y sale por la otra mano.

fig3.jpg (26602 bytes)

La corriente eléctrica puede ser de dos clases: Alterna y Continua. En la primera cambiará de sentido (tantas veces por segundo) en función de la frecuencia que tenga. La segunda circula siempre en la misma dirección. La peligrosidad de la corriente está en función de la Frecuencia, ya que una corriente alterna de baja frecuencia (inferior a 1.000 Hz) produce efectos superiores a la misma intensidad de corriente continua, mientras que para frecuencias superiores a los 20.000 Hz se invierte su peligrosidad.

Los tipos de contactos eléctricos que puede haber son los siguientes:

Directo.
Indirecto.

Se entiende por contacto eléctrico directo, cuando el cuerpo humano es atravesado por la corriente eléctrica, al interrumpir éste el paso de aquella por elementos que están en tensión, tales como cables sin protección, interruptores en mal estado, etc. Puede decirse que en este caso, el cuerpo humano entra a formar parte del circuito eléctrico.

Se entiende por contacto eléctrico indirecto, la desviación de la corriente eléctrica a través de otro cuerpo, al qué se denomina masa, y de forma casual y fortuita el cuerpo humano entra en contacto con dicha masa. De esta forma, se realiza también un nuevo circuito eléctrico.

El contacto eléctrico indirecto es el más común e imprevisto, ya que el directo es más difícil de que ocurra, puesto que la deficiencia está a la vista del operario, lo que le hará aumentar su precaución. No obstante, ambos casos pueden ser evitados con el uso de las medidas de prevención adecuadas. No debe olvidarse que en todos los casos el cuerpo humano es puente por el que fácilmente puede pasar la corriente eléctrica en su camino a tierra y por ello deberá ser fuertemente protegido o bien establecer otro puente que favorezca el camino de forma más fácil. Esto se consigue con los medios de prevención y protección.

Volver al principio de la sección             Volver al principio del artículo             Volver al principio

Medidas de seguridad

Aunque las medidas de seguridad para casos de electrocución podrían darse de forma individualizada para los contactos directos y los contactos indirectos, en la gran mayoría de los casos éstas servirán para ambos tipos de contactos. A continuación, exponemos una clasificación de las medidas o tipos de los métodos:

- Medidas de Prevención Informativas.
- Medidas de Protección Humana.
- Medidas de Protección de la instalación.
- Medidas de Prevención y Protección general.

Las Medidas de Prevención informativas, son todas aquellas señales, carteles, etc., que indiquen la posibilidad de presencia de un peligro o Riesgo eléctrico determinado. Entre éstos podemos determinar los siguientes:

Normas de Seguridad: De la propia empresa. Reglamentos del Ministerio de Industria.
Reglamentos de la O. I. T.
Formación técnica del personal afectado.
Señalización: de Prohibición, de Precaución, de Obligatoriedad, de Información, etc.

Las Medidas de Protección Humana, se refieren al conjunto de herramientas y prendas o ropa de trabajo, que se utilizan de forma individualizada, por parte de cada operario, con el fin de aumentar su Resistencia y, por consiguiente, disminuir el riesgo. Entre ellas destacamos:

Plataformas y taburetes aislantes.
Alfombrillas.
Guantes de caucho y goma aislantes.
Calzado aislante.
Casco.
Pértigas de maniobra.
Pantallas y gafas.
Herramientas con aislamiento.

Las prendas de protección personal no deben ser consideradas suficientes por sí solas, aunque sí necesarias, debiéndose siempre tomar otras medidas de seguridad que las complementen.

Las Medidas de Protección de la Instalación son básicamente:

La Puesta a tierra de las masas. Esta protección consiste en la unión, por medio de un conductor, de las partes metálicas de una instalación eléctrica, que no estén bajo tensión, con el terreno; de forma que al ofrecer una Resistencia muy baja, facilite el paso de la corriente respetando el cuerpo humano. En lugares donde existe cantidad de motores o elementos eléctricos, podrán ponerse muchas puestas a tierra, pero deberá procurarse de que estén muy separadas o bien que estén al mismo potencial, si están muy próximas unas de otras (conexiones equipotenciales).

fig4.jpg (25620 bytes)

 

Recubrimiento de masas accesibles. Es un procedimiento costoso pero de gran utilidad, ya que obliga de forma periódica a realizar inspecciones en la instalación.
Separación entre partes activas y masas accesibles. Este procedimiento también se conoce como aislamiento de protección o doble aislamiento. Cuando se utilice, no deberá colocarse puesta a tierra y, las máquinas, sometidas a esta protección, deberán estar señalizadas. Este sistema consiste en la colocación de un aislamiento suplementario al funcional, con el fin de proteger la masa de una posible corriente de defecto producida por la primera.
Disminución de tensiones. Este procedimiento consistente en disminuir la tensión para que la Intensidad que circule a través de quien entre en contacto sea lo menos peligrosa posible. Éstas podrán ser de 15 y 24 Voltios para corriente alterna. Tiene muchas limitaciones en su uso, debido a su coste y la potencia que hoy día exigen las instalaciones. Suele emplearse en quirófanos, circuitos de mandos, juguetes, lámparas portátiles, etc.
Fusibles e interruptores magnetotérmicos. Estos no deberían considerarse como Dispositivos de Seguridad propiamente dichos, si bien protegen a las máquinas de forma conveniente. Así pues, pueden considerarse como protecciones de acompañamiento. El fusible deberá calcularse al doble de la intensidad nominal, para evitar que se rompa de forma continuada.
Interruptores diferenciales. Estos son dispositivos automáticos de corte del paso de la corriente cuando se presenta una fuga. Un factor importante es su sensibilidad, que debe ser adecuada para cada caso. A mayor sensibilidad, la toma de tierra será más basta, ya que las máquinas tienen toma de tierra natural.

Otras medidas de prevención y protección General serán:

Protección con carcasas de todos los interruptores, seccionadores, etc.
Aviso de reparación de línea, para evitar meter tensión de forma accidental.
Enterramiento de las líneas de conducción.
Extremar medidas de Seguridad en locales con una humedad relativa superior al 70 % y en locales en los que se manipulen materiales muy inflamables, tales como explosivos, petróleos, etc.

Otro riesgo eléctrico muy común es el derivado de la electricidad estática. Entendemos por ésta, aquella que se produce cuando se frotan dos sustancias de diferente constante dieléctrica y una de las cuales, cuando menos, no es buena conductora. Resulta fácil de comprender que este fenómeno se produce con cierta facilidad y en numerosas ocasiones, por lo que los riesgos que se derivan de ella son, asimismo, muy elevados. Como ejemplos de producción de electricidad estática podemos señalar el transporte de fluidos por tuberías o cisternas, en la fabricación de papel en rollos, en máquinas en las que existan correas o cintas de cuero, en el pintado de objetos metálicos por medio de pistola de pulverización, etc.

La electricidad estática es fuente de innumerables problemas que pueden presentarse incluso en nuestros hogares con consecuencias desagradables. Pensemos en las siguiente situación: cuando al cerrar la puerta de un coche después de un viaje, sufrimos una descarga eléctrica, nos hemos convertido en un puente entre la carga de electricidad del coche, acumulada por su contacto con el aire, a alta velocidad, y la tierra. Las medidas preventivas que deben de tenerse en cuenta son las siguientes:

Adecuada puesta a tierra para máquinas, pero sobre todo, para cisternas de almacenamiento y transporte de fluidos.
Adhesivos especiales para correas de transmisión.
Establecer una buena ventilación para que los vapores inflamables puedan ser evacuados con facilidad.
Efectuar un mantenimiento adecuado en los locales en los que existe peligro de humedades relativas altas.
Ionización del aire por medio de sustancias radiactivas, alta tensión o inducción. No obstante, aunque son muy eficaces estos procedimientos, no podemos ocultar el alto coste que supone su implantación, así como sus problemas técnicos.
Volver al principio de la sección             Volver al principio del artículo             Volver al principio

Primeros auxilios

Después de haber descrito los conceptos básicos sobre las posibles fuentes de riesgo eléctrico, procederemos a exponer los primeros auxilios que deberemos aplicar, siempre midiendo nuestra forma de actuar, para evitar agravar las lesiones o causar unas nuevas al accidentado, a otras personas o a nosotros mismos. Precisamente en el auxilio a una víctima de accidente eléctrico es donde hemos de extremarse todas las medidas, para evitar que nuestra actuación sea desafortunada.

Nunca debemos olvidar que el cuerpo humano es un buen conductor de la electricidad, como lo son el agua y los objetos metálicos. Antes de intentar cualquier ayuda a una víctima de la electricidad es totalmente necesario tener la seguridad de que éste no está en contacto con un conductor en tensión. En caso contrario, tocar a la víctima sin precauciones nos ocasionaría que sufriéramos las mismas lesiones, al igual que, si por estar ardiendo sus ropas, tratamos de arrojarle agua o separarlo con instrumento no suficientemente aislador de la corriente.

Para desprender a la víctima, en caso de haber quedado suspendida de un cable, debemos pensar que nosotros solos no vamos a poder manejarla, por lo que hemos de tomar medidas especiales para que, en su caída no se produzcan fracturas.

En los accidentes por electricidad hay que distinguir entre dos tipos de corriente: la natural atmosférica y la producida artificialmente. El tratamiento es prácticamente igual en una que en otra y lo único que varía son las medidas de prevención de accidentes. Nosotros, desde el punto de vista del socorrista, nos referimos únicamente a la artificial, que es la que más veces requerirá nuestra ayuda.

Nuestra primera actuación siempre ha de ser cortar inmediatamente la corriente, si el aparato de corte o los fusibles son fácilmente accesibles. En caso de no poder llegar a estos aparatos por encontrarse distantes, se procurará poner los conductores en cortocircuito, procurando para ello quedarse fuera del alcance de la corriente y lanzando una barra de hierro o cadena que ponga en contacto ambos conductores para hacer saltar los fusibles y conseguir el mismo efecto.

En la electricidad industrial habrá que distinguir entre la de alta y baja tensión. La de alta tensión, causa menos lesionados, porque existe gran conciencia del peligro. Por lo general la manipulan personas muy adiestradas, pero, no obstante, puede existir el caso de un cable caído en el suelo y que transmita la corriente, debiendo tener en cuenta que, en estos casos, no sólo su contacto, sino la simple aproximación a corta distancia puede hacer saltar el arco y por simple deslumbramiento causarnos lesiones oculares. Estas corrientes es frecuente que, como consecuencia de la descarga, lancen la víctima a distancia, provocándole fracturas que, en ocasiones, son las únicas consecuencias y, en otras, una complicación más de las lesiones que se producen. Las descargas de alta tensión suelen producir parálisis cardiorrespiratoria. que suelen tardar mucho tiempo en recuperarse, pudiendo dar también manifestaciones tardías, por lo que las víctimas deben estar varios días en observaciones bajo control médico.

La de baja tensión también es muy peligrosa y es causa de muchas muertes, sin olvidar que a ésta estamos expuestos prácticamente todos, ya que está presente en nuestros hogares, y con la que además, por la falsa creencia de que no es peligrosa, se cometen múltiples imprudencias, desde utilizarla pulsando interruptores o manipulando enchufes estando con todo nuestro cuerpo o parte de él en contacto con el agua o la humedad (hemos dicho es muy buena conductora), hasta no mandar reparar y revisar los electrodomésticos cuando vemos que al utilizarlos dan pequeños hormiguillos, evidencia de algún contacto o alguna reparación defectuosamente hecha.

Las víctimas de estas corrientes suelen quedar agarrotadas y pegadas al conductor, ya que se produce una estimulación nerviosa que ocasiona contracción espástica de los músculos flexores de las manos y brazos. Ésta, a veces, persiste después de cortada la corriente, por lo que debemos desagarrotar las manos.

En ocasiones la parada cardiaca está motivada por la presencia de una fibrilación ventricular (contracciones parciales de los ventrículos, rapidísimas y descoordinadas, totalmente ineficaces para mantener la circulación de la sangre), cuando el paso de la corriente ha cogido de lleno el eje cardíaco.

Otras veces por descarga en el bulbo puede producirse la parálisis respiratoria. También en esta baja tensión en ocasiones puede salir despedida la víctima, ocasionándosele fracturas.

Esperamos sinceramente que esta nota haya servido para poner en aviso a todos aquellos que manejan la electricidad con gran alegría, sin pensar en las consecuencias de un uso inadecuado de las medidas de protección.

Volver al principio de la sección             Volver al principio del artículo             Volver al principio

Dedicatoria

Quisiera dedicar este trabajo a Ana Belén, mi amor, mi compañera, mi amiga y un montón de cosas más que con palabras no puedo expresar. Cuando todo estaba oscuro y no sabía dónde ir -quizás estaba ciego y no veía el camino-, me tendió su mano para afrontar juntos un futuro lleno de esperanzas e ilusiones, de las cuales yo ni siquiera tenía noticias.

Volver al principio de la sección             Volver al principio del artículo             Volver al principio

RECORTES

La LOCE entra en vigor

EUROPA PRESS. elmundouniversidad.com. Lunes, 13 de enero de 2003

MADRID.- La Ley Orgánica de Calidad de la Enseñanza (LOCE) entra hoy en vigor tras su publicación en el Boletín Oficial del Estado (BOE) el pasado 24 de diciembre. La reforma de las enseñanzas no universitarias, que el Congreso aprobó definitivamente el pasado 19 de diciembre con los votos favorables de PP y CC, deberá ser aplicada progresivamente en un período máximo de cinco años, tal y como se establece en el texto legislativo.

Con la LOCE, que afectará a unos seis millones de estudiantes, el Gobierno pretende prevenir y combatir el fracaso escolar, elevar el nivel de formación y de conocimientos de los alumnos y su calidad, impulsar un sistema efectivo de oportunidades para todos, fomentar la cultura del esfuerzo y mejorar las condiciones para el desarrollo de la función docente.

Para ello, contempla entre sus diversas medidas la implantación de una Prueba General de Bachillerato (PGB) de carácter externo al finalizar este ciclo formativo con el fin de obtener el Título de Bachiller.

Además de la reválida, los itinerarios formativos que establece la reforma en la Educación Secundaria Obligatoria (ESO) fueron las medidas más polémicas y protestadas por estudiantes, sindicatos y oposición.

Estas vías formativas serán dos en tercero de Secundaria (Tecnológica y Científica-Humanística) y tres en cuarto (Tecnológica, Científica y Humanística), que los alumnos elegirán libremente.

Se prevé la movilidad entre itinerarios, es decir, que la decisión sea reversible, además de que todos los estudiantes, independientemente de la vía que elijan, obtengan el mismo Título de Graduado en Educación Secundaria Obligatoria, que permitirá acceder al Bachillerato y a la Formación Profesional de Grado Medio.

A los 16 años, los alumnos podrán elegir entre tres modalidades de Bachillerato: de las Artes, de Ciencia y Tecnología y de Humanidades y Ciencias Sociales.

Los estudiantes de esta edad (y excepcionalmente de 15) que voluntariamente no deseen cursar los itinerarios podrán, si así lo desean, seguir los nuevos Programas de Iniciación Profesional, con contenidos curriculares esenciales de ESO y módulos profesionales.

La evaluación se realizará por asignaturas al final de cada uno de los cursos, por lo que, los alumnos que no superen alguna asignatura podrán realizar una prueba extraordinaria para recuperarla.

Una vez realizada esta prueba, cuando el número de asignaturas no aprobadas sea tres o más, el alumno deberá repetir (cada curso una sola vez), con lo que se elimina la promoción automática.

Fomento de la lectura, escritura y los números

La reforma establece además la Educación Infantil hasta los 3 años como educativo-asistencial, siendo el segundo ciclo (3-6 años) gratuito para atender la demanda.

En esta etapa, los niños se introducirán en el aprendizaje de lectura, escritura y habilidades numéricas, además de iniciarse en el estudio de una lengua extranjera y de las nuevas tecnologías.

En cuanto a la Educación Primaria, estipula la potenciación de las habilidades de lectura, escritura y cálculo.

La evaluación de los alumnos será continua y los que accedan al ciclo siguiente con evaluación negativa en alguna de las áreas, recibirán los apoyos necesarios para su recuperación.

También cabe destacar la implantación de una asignatura de "Sociedad, Cultura y Religión" que comprenderá dos opciones:

una de carácter confesional con aquellas religiones con las que el Estado tenga suscritos acuerdos de enseñanza, y otra no confesional. Ambas opciones serán de oferta obligatoria por los centros, debiendo elegir los estudiantes una de ellas.

Para el profesorado, se ofrecerán incentivos profesionales y económicos por la complejidad de la función tutorial, se posibilitará la reducción de la jornada para los mayores de 55 años que lo soliciten y se impulsará el reconocimiento de su labor docente, la realización de actuaciones destinadas a premiar la excelencia y el esfuerzo y el desarrollo de licencias retribuidas para estimular su actividad. Se reestablece además el Cuerpo de Catedráticos de Bachillerato.

Volver al principio del artículo             Volver al principio de Recortes             Volver al principio
linea.gif (922 bytes)
Vivat Academia, revista del "Grupo de Reflexión de la Universidad de Alcalá" (GRUA).
REDACCIÓN
Tus preguntas y comentarios sobre este Web dirígelos a vivatacademia@uah.es
Copyright © 1999 Vivat Academia. ISSN: 1575-2844.  Números anteriores. Año V.
Última modificación: 27-02-2003