Docencia e Investigación
Arriba Último Nro. Índice Nros. Anteriores Índices Históricos

ISSN: 1575-2844

Revista Vivat Academia.

  Histórico. Año VIII

linea.gif (922 bytes)

Marzo 2006. Nº 73

Contenido de esta sección:

El río Loira, río Real de Francia (Primera parte) (G. Amaru)
Introducción
Pequeña lección de geografía
Historias de puentes
Leyenda del "gato de Beaugency"
Otros puentes relevantes
Los puentes, objetivos militares
La rendición de la columna Elster
Matanzas
Barcos y marineros de mar y del río
El gran viaje de un cierto Jules Verne
Navegación fluvial
Anécdotas de marineros del río
FUENTES
Índice de la Segunda Parte (por venir)
Les Bernouilli o el mayor monstruo, los celos (José A. Martínez Pons)
Introducción
Antecedentes
Aparecen las matemáticas
Amor fraterno
De nuevo el gen egoísta
Sorte premium non tulit
Entra en escena un primo postizo
De vuelta a casa y cómo los celos cambian de signo
Recensión de libro de Física divulgativa (José A. Martínez Pons)

El río Loira, río Real de Francia
(Primera parte)

G. Amaru

Introducción

Hablaremos, en primer lugar, del río Loira en su conjunto, lo que nos conducirá muy lógicamente a tratar, en otro artículo aún por venir, de la ciudad de Orleáns, situada a medio curso de este río. Sin duda, respecto a las otras, esta ciudad es la de mayor importancia tanto por su historia como por su desarrollo actual.

Intentaremos presentar el Loira de manera viva, usando anécdotas, acontecimientos y hechos históricos o actuales, hablando de la gente y sus actividades, de sus riquezas agrícolas, industriales e intelectuales.

Volver al principio del capítulo             Volver al principio del artículo             Volver al principio

Pequeña lección de geografía

Para que sepan de qué hablamos, un breve curso de geografía es imprescindible.

A modo de preámbulo, en Francia llaman «fleuves» a las corrientes de agua que desembocan en el mar, cualquiera que sea su longitud, y «rivières» a las que no.

El Loira es un «fleuve», el más largo de Francia, con 1.020 km, y su cuenca es la más extendida con 115.000 km2. Nace en el Massif Central, al pié del Monte Gerbier de Jonc (Departamento de Ardèche). Primero se dirige al Norte hasta encontrar el Sur del «Bassin Parisien», donde, con una larga curva tuerce hacia el Oeste, para desembocar en el Atlántico en el puerto de Saint Nazaire. La mayoría de sus afluentes, y los más importantes, son los de la ribera izquierda (Allier, Cher, Vienne). Tiene un régimen muy irregular, con caudales variando de 15 a 8.000 m3/s. A lo largo de su recorrido, atraviesa las ciudades de Roanne, Nevers, Orleáns, Blois, Tours, Saumur y Nantes, entre las más grandes.

Mapa cuencal.jpg (14333 bytes)

Mapa de la cuenca del río Loira

Volver al principio del capítulo             Volver al principio del artículo             Volver al principio

Historias de puentes

En Francia, hablando de la gente, de sus costumbres, de su gastronomía, de su cultura en general, de sus dialectos también, solemos distinguir entre los del Norte y los del Sur del Río Loira. Eso ilustra bien la importancia de este río como línea de separación entre dos Francias. Por consiguiente, es natural que los puentes que le cruzan aparezcan como el símbolo de la unidad del país, además de su papel usual.

Volver al principio del capítulo             Volver al principio del artículo             Volver al principio

Leyenda del "gato de Beaugency"

El puente más antiguo es el de Beaugency, entre Orleáns y Blois, construido en 1130. Consta de 24 arcos de piedra y une la Beauce, al Norte, con la Sologne, al Sur. Una leyenda nos cuenta que el Diablo propuso al Alcalde construir un puente en sólo una noche y que se cobraría con el alma del primero que lo cruzara. Así, a la mañana siguiente, apareció un magnífico puente, con el Diablo esperando a su presa al otro lado. Llegó el Alcalde frente a sus ciudadanos estupefactos, con un gato en una mano y un cubo de agua en la otra. Tiró al gato sobre el puente hacia el Diablo y le echó el agua de tal manera que el animal enloquecido atravesó el puente como una flecha y se refugió en los brazos del Diablo. Éste, airado, trató a los de Beaugency de «gatos feos» y se fue, avergonzado.

leyenda.jpg (25512 bytes)

Volver al principio del subcapítulo            Volver al principio del capítulo             Volver al principio del artículo             Volver al principio

Otros puentes relevantes

El más reciente es el puente de Europa, en Orleáns, obra del arquitecto valenciano Santiago Calatrava. Destacan los dos trípodes que soportan su tablero y su arco lateral inclinado, con obenques. Lo raro es que desemboca al Sur en la nada, o casi, porque esta zona residencial rechaza toda idea de construcción de una gran carretera que continúe la circunvalación del Norte.

Puente Europa.jpg (43804 bytes)

Puente de Europa (Orléans)

El puente más largo es sin duda el que cruza el estuario en Saint Nazaire, con sus 3.356 m. La parte céntrica, el tablero, mide 720 m de longitud, con 60 m de altura, y permite que pasen los barcos de alta mar dirigiéndose a los puertos de Montoir, Donges, y Nantes. Está sostenida por dos pilones bípodes y obenques. Los tramos de acceso los constituyen dos viaductos de hormigón. El conjunto es impresionante y se puede ver desde muy lejos mar adentro.

Puente St Nazaire.jpg (42399 bytes)

Puente de St Nazaire (Nantes)

Volver al principio del subcapítulo             Volver al principio del capítulo             Volver al principio del artículo             Volver al principio

Los puentes, objetivos militares

En junio de 1940, los ejércitos franceses son derrotados. Muchas unidades y millares de refugiados se dirigen hacia los puentes del Loira, en una desorganización total, sin noticias de la situación militar y política. Los «Stukas» alemanes bombardean los puentes (y los barrios colindantes) para impedir que los restos de las fuerzas francesas se pongan a salvo al otro lado. Las que lo consiguen vuelan otros para que las tropas alemanas no puedan cruzar el río. Las retaguardias pasan combatiendo bajo el fuego y las bombas enemigas, como en Gien. En Saumur, los Cadetes de la Academia Militar de Caballería oponen fuerte resistencia a los alemanes. Total que casi todos los puentes entre Nevers y Nantes son destruidos o gravemente dañados. Todo acaba el 21 de junio con la firma del alto al fuego entre el Mariscal Pétain y los alemanes. Empieza la ocupación de la mitad de Francia.

Mayo y junio de 1944, bis repetita. En vista a la preparación de la invasión de Normandía por parte de los Aliados, los puentes del Loira que habían sido más o menos restaurados son el objetivo de sus bombarderos. Se trata de impedir que las tropas alemanas acantonadas en el Sur del río lleguen al auxilio de las del Norte. De la misma manera que en 1940, pero tal vez con más potencia y menos precisión, las ciudades entre Nevers y Nantes, con sus puentes, sufren daños importantísimos.

Volver al principio del subcapítulo             Volver al principio del capítulo             Volver al principio del artículo             Volver al principio

La rendición de la columna Elster

Julio y Agosto de 1944. Los alemanes han perdido la batalla de Normandía y las fuerzas que aún están al Sur del Loira reciben la orden de retirada hacia Alemania. Entre los últimos está el General Elster, que manda a una columna heteróclita compuesta de infantería, de artilleros de marina (los del Muro del Atlántico entre la Gironda y Hendaya), muy pocos vehículos y escaso armamento. Son unos 25.000. Se dirigen, como las otras divisiones o columnas viniendo del centro-sur de Francia, a Decize, pequeña ciudad río arriba de Nevers, cuyo puente es el único pasaje intacto. Pero, desde el principio de junio, la Resistencia ataca a todos los alemanes que hacen movimiento al Norte o al Noreste. La columna de Elster es acosada casi a diario en cuanto ha pasado Bordeaux, hasta Chateauroux. Ya en agosto, De Gaulle ha vuelto a instalar su Administración en los departamentos y ciudades liberados por los Aliados o por la Resistencia. El General Elster, que nunca ha sido un nazi, ya se ha dado cuenta de que Hitler ha perdido la guerra. Empieza a tomar contactos con los americanos por medio de la Resistencia gaulista. Consecuentemente, el 10 de septiembre de 1944, en la «Sous-Préfecture» de Issoudun, firma un convenio con los americanos, cuyas tropas ocupan el Norte del Loira. Vuelve a confirmarlo en presencia de oficiales franceses el 14 de septiembre. El acuerdo prevé que los alemanes que aprueban la rendición (algunos la rechazaron), se dirijan al Norte, hacia el puente de Beaugency (el del gato), sin padecer otros ataques, y que allí, remitan sus armas a los americanos en una ceremonia que sea filmada y utilizada para la propaganda. Todo se cumplió así el 16 de septiembre. 19.600 hombres se rindieron a los americanos y cruzaron el Loira en Beaugency, para ingresar en un campo de prisioneros construido adrede por ellos en la vecindad. Elster, condenado en su ausencia a muerte por los Nazis, fue trasladado a EE.UU con sus oficiales. Tras la guerra, volvió a Alemania y salió sin cargo de los trámites de desnazificación. Se hizo campesino y murió en los años 50, tranquilamente.

Volver al principio del subcapítulo             Volver al principio del capítulo             Volver al principio del artículo             Volver al principio

Matanzas

Desgraciadamente, el Loira y sus puentes fueron también testigos de hechos más horrorosos.

Durante las guerras de religión, es tristemente famosa la matanza del día de San Bartolomé, que empezó en Paris en agosto de 1572 y continuó en el valle del Loira. En La Charité sur Loire, Orleáns, Saumur y Angers, las víctimas protestantes fueron tiradas al río desde los puentes. Cuando cesó, unos 30.000 protestantes habían perdido la vida.

Luego vino la Revolución francesa. En 1793/1794 un viento de locura sopló sobre la Convención, el gobierno revolucionario del que Robespierre se había hecho el jefe. Se institucionalizó el régimen de «La Terreur». Llevaron a la guillotina no sólo a los aristócratas naturalmente sospechosos de fomentar la contra-revolución, sino también a miembros más destacados de la Convención, por ser demasiado tibios o, al contrario, ultra derechistas, a artistas, escritores, poetas, científicos… Y, por supuesto, a un número más grande de ciudadanos ordinarios, por los motivos más fútiles.

Un cierto Jean-Baptiste Carrier fue nombrado Representante de la Convención en Nantes y, entre noviembre de 1793 y julio de 1794, mandó ahogar a más de 10.000 personas de la manera más cruel. En barcos, habían previsto trampas en el fondo del casco por donde caían al agua los condenados atados en pares, un hombre con una mujer. Carrier llamaba a eso «deportación vertical» o «bodas republicanas». La Terreur cesó cuando Robespierre fue guillotinado a su vez a finales de julio de 1794, y el propio Carrier en diciembre del mismo año.

Volver al principio del subcapítulo             Volver al principio del capítulo             Volver al principio del artículo             Volver al principio

Barcos y marineros de mar y del río

Ya hemos evocado el tráfico marítimo de los puertos del estuario, hasta Nantes. Este conjunto portuario es el cuarto de Francia por el tonelaje, y se ha especializado en el tráfico de productos petroleros, forestales, cereales, frutos, carne, y contenedores. Sin olvidar los Astilleros de Saint Nazaire, donde fueron construidos buques de línea tan famosos como «Normandie», «France», «Queen Mary II» y muchos de los cruceros actuales.

Ya en los tiempos más remotos, los barcos de mar aprovechaban el estuario y la parte inferior del río para el comercio o la guerra.

Julio Cesar en «La Guerra de las Galias» nos dice que para luchar contra los Venetos (Galos del Sur de Bretaña) que habían tomado como rehenes a los embajadores romanos, mandó construir barcos en las riberas del río, en la región del estuario, y enrolar a marineros y prácticos que los manejaran, porque era la única manera de luchar contra esas poblaciones marítimas.

Los Vikings daneses llegaron en 843, año en que saquearon Nantes, y, estableciendo bases en la región del estuario, condujeron muchas incursiones río arriba hasta Saint Benoît sur Loire (más allá de Orleáns), saqueando y destruyendo todo lo que resistía a su avance. Sólo en 936 fueron vencidos y expulsados.

Pero la Edad de Oro de Nantes y del Estuario se extiende del siglo XVII a la Primera Guerra Mundial. Primero con el comercio triangular: de Nantes a las costas de África, con mercancías manufacturadas y armas, de África al Caribe o América, con esclavos, y vuelta a Nantes con azúcar, ron y otros productos tropicales.

Luego, con el desarrollo del transporte marítimo a finales del siglo XIX, gracias a una ley de fomento a la construcción de grandes veleros de 3 ó 4 palos (1893), fue la época de las líneas de Chile (salitre), Australia (lana), California (madera), Asia (té, telas, porcelanas) y Nueva Caledonia (níquel). Durante la Gran Guerra, los barcos a vapor destronaron definitivamente a los veleros. Así, en 1921, todos los veleros de las navieras de Nantes fueron atracados en el cementerio marítimo del Canal de la Martinière, al Sur de la ciudad.

Volver al principio del capítulo             Volver al principio del artículo             Volver al principio

El gran viaje de un cierto Jules Verne

Es inútil presentar al famosísimo escritor de libros de aventuras dedicados a la juventud. Nació en Nantes, a unos 50 km de la desembocadura del río, en 1828. Ya desde niño soñaba con el mar y los viajes. A los 11 años, se entera de que el velero de 3 palos «La Coralie» va a zarpar hacia las Indias. Sin saberlo sus padres, consigue enrolarse como grumete, con el proyecto de volver y regalar a su prima Caroline un collar de coral. Alarmado su padre, no tarda en descubrir cómo se había fugado su hijo. Y el viaje acaba en el puerto de Paimboeuf, a 40 km río abajo, con una buena paliza. Es por esto que prometió a su madre no viajar nunca más, sino en sueños. Y lo cumplió, como lo prueba su inmensa obra.

Volver al principio del subcapítulo             Volver al principio del capítulo             Volver al principio del artículo             Volver al principio

Navegación fluvial

Ya desde el siglo XV, el Loira es la vía de penetración y comunicación más importante del reino. Primero en la parte de su recorrido Este/Oeste, es decir, entre Briare y el estuario, donde los barcos pueden aprovechar los vientos más regulares de Oeste/Noroeste que les permiten navegar a contra corriente. Luego en su tramo superior, entre Roanne y Briare, aunque con más dificultades, necesitando más a menudo enganchar las caballerías para que les sirguen río arriba.

A finales del siglo XVII, con la puesta en servicio de los canales de Briare y de Orleáns, el Loira se conecta directamente al Sena y a París. Lo que explica aún más el desarrollo del tráfico fluvial. El barco de carga más utilizado es la «gabarra», de hasta 30 metros de eslora. Bajando el río, del Massif Central hacia Paris, transportan leña, madera de construcción, carbón. De Orleáns y Blois hacia Nantes, los cereales de la Beauce. En los dos sentidos, van los vinos, la piedra de construcción blanca (la de los castillos del Loira), los vinagres de Orleáns, sin olvidar los pasajeros navegando en «coches de agua», primero de vela y luego, a partir de 1829, de vapor. Hacia arriba, cargan en Nantes sal y productos de ultramar como el azúcar y el ron. En Angers, son cargamentos de pizarra para los tejados. Los vinos de Nantes, Saumur, Tours, destinados a París, hacen escala en Orleáns, donde los catan. Los que no cumplen con la calidad requerida se convierten en vinagre. Así se hizo la reputación de Orleáns en esta industria.

gabarra 1.jpg (18362 bytes)

Gabarra a vela navegando por el Loira

Otra gabarra

gabarra 2.jpg (4309 bytes)

gabarra 3.jpg (34391 bytes)

Otros barcos amarrados en la orilla del Loira
 

coche_agua.jpg (40260 bytes)

Dibujo de época de un "coche de agua"

En esa vida económica intensa, destacaban los marineros del río. Primero los patrones, dueños de sus gabarras, que las sociedades comerciales u hombres de negocio contrataban para que transportasen sus mercancías. Éstos enrolaban a sus marineros, a menudo gente de su región. Eran 6.000 a mediados del siglo XIX.

Volver al principio del subcapítulo             Volver al principio del capítulo             Volver al principio del artículo             Volver al principio

Anécdotas de marineros del río

Son hombres fuertes, desenvueltos y algo pícaros. Bien conocidos en los muchísimos puertos a lo largo del río por beber mucho, hablar fuerte, cantar y disfrutar de la vida en las tabernas.

- La del salmón

Solían respetar a su patrón, pero no siempre. Por ejemplo, una vez todo el gremio amenazó hacer huelga. ¿Por qué? Porque ese año estaban hartos de comer salmón todos los días, talmente abundaba en el río por aquel entonces.

- La de la cotorra

Una de sus aficiones era comprar cotorras o papagayos en Nantes, a los marineros de mar, y, durante el viaje de retorno río arriba, enseñarles todas sus palabrotas. Los vendían a los lugareños en sus escalas. Los que tenían esposas se los dejaban en casa; así, estaban seguros que ellas no les olvidarían.

Una vez, un papagayo había sido entregado al convento de Nevers y allí bien educado con la mejor jerga religiosa. Las monjas quisieron regalarlo a las Visitandinas de Nantes, y lo confiaron a la tripulación de un barco. Cuando el animal llegó a su nuevo convento, ¡blasfemaba y maldecía como un marinero!

Antes de 1830, hacían falta 6 días entre Orleáns y Nantes, y unos 20 días en sentido contrario, según el viento. Con los barcos de vapor, sólo 2 y 4 días respectivamente. Pero en 1846 prolongan la línea de ferrocarril de París a Orleáns hasta Tours y en 1852 hasta Nantes. En consecuencia, van a desaparecer paulatinamente los barcos de vela, resistiendo algo más los de vapor, hasta que, en 1918, el «FRAM» vapor de 40 metros que transportaba azúcar y cacao de Nantes a la fábrica de chocolate de Blois, haga su último viaje.

Volver al principio del subcapítulo             Volver al principio del capítulo             Volver al principio del artículo             Volver al principio

FUENTES

- Les Ponts de la Loire, de la source à l’Atlantique, de Serge VANNIER
Editions C.P.E. 2002

- Le Folklore de l’Orléanais, de Christian CHENAULT
Editions Howarth 1993

Volver al principio de Fuentes             Volver al principio del artículo             Volver al principio

SEGUNDA PARTE (Por venir)

- Los Castillos del Loira y sus famosos

- Los Vinos del Loira

- Medio ambiente y centrales nucleares

- Cuando se enfada la Naturaleza (grandes riadas y río helado)

Volver al principio del artículo             Volver al principio

Les Bernouilli o el mayor monstruo, los celos

José A. Martínez Pons

Introducción

En todas las actividades hay familias cuyos miembros parece como si tuvieran una predisposición genética hacia aquella actividad; sirva de ejemplo tópico el clan de los Bach, de los cuales el cantor de Leipzig, el gran Juan Sebastián, fue uno más en una larga cadena de músicos por ascendencia y descendencia. En ciencia no suele ser tan frecuente, aunque en España tenemos la dinastía de los Cabrera, padre, hijo y nieto, en Francia están la saga de los Curie...

Por supuesto, los celos, las envidias y las puñaladas traperas son comunes en todas las actividades, sobre todo aquellas que hacen buena la frase cervantina "Poderoso es el nombre de primero", como es el mundo del descubrimiento científico, pero que estas guerras tengan lugar en el seno de una misma familia no suele ser muy habitual.

Las líneas que siguen son la historia de una familia que se lleva la palma en cuanto a lo bueno y lo malo: la familia Bernouilli.

A cualquier estudiante de ciencias el nombre de Bernoulli le suena, ya sea por sus aportaciones a la mecánica de fluidos, la ecuación de Bernouilli,

es fundamental en la dinámica de fluidos, ya por las aportaciones al cálculo y ahí está la no menos famosa ecuación diferencial

y’+y P(x)=yn Q(x)

compañera de las de Riccati y Clairault a la hora de hacer sufrir a novicios estudiantes de análisis matemático. Incluso en el terreno de la probabilidad está la distribución de Bernouilli, por citar los hitos más destacados de su trayectoria.

Pero, ¿quién era Bernouilli, mejor dicho, quiénes eran los Bernouilli?

Volver al principio del capítulo             Volver al principio del artículo             Volver al principio

Antecedentes

Pongámonos en situación. Estamos en Bruselas, más o menos en 1622. Jacob Bernouilli, hugonote convencido y hoy diríamos que "fundamentalista" en la Bélgica mayoritariamente católica, no estaba precisamente cómodo, por lo que buscó aires más tolerantes para su fe calvinista y emigró a Basilea, en Suiza, a donde ya había emigrado Calvino, el líder espiritual de los hugonotes, hoy más conocidos como calvinistas. En la doctrina calvinista se acepta la predestinación; existe un plan de Dios y al ser humano le toca ser una rueda más en el engranaje. Dentro de este plan de Dios, cada hombre tiene un destino. Jacob Bernouilli cumplió el suyo, prosperando económicamente, a quien Dios ama bendice con bienes, incluso en esta vida, y casándose tres veces. Sin embargo, de sus tres matrimonios sólo tuvo un hijo, Nikolaus. No se puede tener todo.

Nikolaus compensó la parquedad reproductiva de su padre teniendo una docena de hijos pero, como por otra parte era normal en aquella época, sólo cuatro llegaron a la edad adulta. De estos cuatro nos interesan dos, Jakob, nacido en 1654, y Johann, en 1667.

Nikolaus intentó descubrir los designios divinos respecto a sus hijos. A su parecer, un hombre serio y reflexivo como Jakob estaba destinado a la teología, en tanto que el carácter de Johann era signo indiscutible de su destino al mundo del comercio. Los hijos fueron en principio dóciles a las inspiraciones paternas y Jakob ingresó en la Universidad de Basilea para estudiar Filosofía y Teología. Pero por lo visto Dios escribía recto con renglones torcidos, aunque esta frase sea de inspiración católica, ya que el serio y reflexivo Jacob, a hurtadillas, estudiaba matemáticas y astronomía, con un cierto grado de culpabilidad que le llevó a confesar a su diario: "Estudio las estrellas contra la voluntad de mi padre".

Con Johann se hizo pronto evidente que la premonición paterna había fallado. Nikolaus le colocó de aprendiz en el negocio de farmacia y especias de la familia, pero el joven lo hizo tan rematadamente mal que el devoto calvinista concluyó que había errado y decidió que Johann debía estudiar medicina, a fin de cuentas todo quedaba en casa.

Volver al principio del capítulo             Volver al principio del artículo             Volver al principio

Aparecen las matemáticas

A los 16 años, Johann ingresó en la Universidad de Basilea y se graduó en medicina… pero, también a escondidas de su padre y con la ayuda de su hermano Jacob, se dedicó a estudiar matemáticas.

Estamos en 1684. En este momento sale a la calle un artículo firmado por el alemán Gotfried Wilhelm Leibniz que sienta las bases de un nuevo método de cálculo: el cálculo infinitesimal. Según parece el articulo en cuestión no provocó especial revuelo, quizás por no estar escrito con suficiente claridad, tal vez, dicen algunos, de modo intencionado, por parte de G.W.L.

A la par que el alemán, el escocés Isaac Newton había desarrollado su propia versión, aunque no la había publicado. Las controversias entre ambos matemáticos son interesantísimas, de momento las vamos a pasar por alto.

El trabajo cayó en manos de los hermanos que comprendieron muy poco del mismo, pese a que lo intentaron. Desesperados, escribieron al autor solicitando su ayuda. Leibniz ni siquiera acusó recibo de la misiva.

Los Bernouilli no se desalentaron y siguieron erre que erre. Como el que la sigue la mata, un buen día, de repente, se hizo la luz en la mente del mayor, que compartió su descubrimiento con su hermano. Todo el intríngulis estaba en el concepto de infinitesimal, una mota desprovista de toda complicación. Un suceso complejo podía dividirse en partes infinitesimales, simples, y sumar los efectos, de este modo el problema estaba resuelto.

Era posible predecir cualquier cosa , incluso, tal vez, el comportamiento humano.

Obsérvese lo importante que para un devoto calvinista debía ser la nueva metodología. Puesto que Dios sabía por anticipado lo que iba a ocurrir, el cálculo infinitesimal era una forma de leer la mente de Dios. Ítem más, era una prueba apologética de lo acertado de las ideas calvinistas.

Todo, incluso el vuelo de una moneda, podía descomponerse en elementos infinitesimales y calcular el resultado en apariencia aleatorio.

johann.jpg (28445 bytes)

Durante tres años siguieron escrutando el cálculo, entonces les llegó una carta inesperada del maestro Leibniz. Llenos de alegría le contestaron y entre los tres se estableció una fluida correspondencia científica. Pero las alegrías no pueden durar mucho y Papá Nicolás se enteró. No se le ocurrió pensar en que el plan de Dios fuera que su hijos se convirtieran en matemáticos, sino que montó en cólera y les conminó a que abandonaran "pasatiempos inútiles e improductivos" como las matemáticas y se buscaran algo útil, que él no estaba dispuesto a mantener vagos.

Jakob encontró trabajo de profesor de matemáticas en la Universidad de Basilea y allí, lentamente, fue desarrollando el cálculo, aplicándolo a múltiples campos, como la física, la química e incluso, la economía, al tiempo que se labraba una sólida reputación. Johann, por su parte, emigró a París con la sana idea de guiar a los matemáticos galos en los nuevos métodos. La idea además de sana fue productiva porque, en opinión de todos, el más destacado matemático francés, el marqués de l’Hôpital, le ofreció nada menos que 300 libras para que "le concediera a ratos algo de su tiempo para trabajar en lo que a él le pareciera" y "para que le comunicara sus últimos descubrimientos, pero no a otros" (listo que era el señor marqués). Johann, que andaba apuradillo de pecunia, aceptó con reticencias esta última condición pero , tal vez para consolarse, pensó que Monsieur le Marquis parecía un caballero honorable.

Por estas fechas estalló la controversia sobre la prioridad en el descubrimiento del cálculo infinitesimal entre Newton y Leibniz. Johann, con la arrogancia que le caracterizaba, se erigió en defensor del tudesco contra tirios y troyanos. Mientras, su fama crecía y su hermanito mayor no perdía oportunidad de apuntarse el tanto de que él, Jakob, había sido el maestro de Johann. En privado y a pesar de sus manifestaciones públicas, empezó a mostrar ciertos celitos sobre las capacidades de su hermanito, aumentadas con la amistad que Johann y Leibniz tenían.

Volver al principio del capítulo             Volver al principio del artículo             Volver al principio

Amor fraterno

Total que, en 1695, Johann, tal vez harto de andar de la Ceca a la Meca, decidió que era hora de volver a casa y solicitó un puesto de profesor en la Universidad de Basilea. Jakob, celoso, intrigó hasta conseguir que, pese a su fama, la solicitud de su hermano fuera rechazada. (Empieza el destino manifiesto de la familia).

Como en este mundo todo se sabe y siempre hay piadosas almas que gozan encizañando, Johann se enteró y se puso por las nubes. A pesar de todo, Christian Huyggens le llamó para se hiciera cargo de la presidencia del Departamento de Matemáticas de la Universidad holandesa de Groningen. La "guerra civil" había estallado. Los otrora bien avenidos hermanos empezaron a denigrarse en público, minimizando los trabajos del otro; todo desde las páginas de la revista "Acta Eruditorum" (algo así como el Science o Nature de nuestros días). Las cosas llegaron a tal extremo, que el director de la revista cortó por lo sano en 1699. Ello no disuadió a los fraternales matemáticos, que siguieron con su guerrita particular a través de chismes, cartas y billetes transmitidos a los colegas. Lástima que no se hubieran inventado los Reality Shows.

jakob.jpg (38533 bytes)

Lo más curioso del caso es que, por lo demás, ambos eran hombres amabilísimos, sobre todo excelentes esposos y padres de familia. Jakob tenía dos hijos y Johann tres, entre ellos, el pequeño Daniel, nacido en Holanda. Acaba éste de cumplir cinco años cuando, por razones familiares, su suegro estaba muy delicado, Johann decidió regresar a Basilea. En el camino se enteró de que su hermano Jakob había muerto de tuberculosis. Quedaba pues vacante su puesto. Le faltó tiempo a Johann para intrigar y conseguirlo en dos meses. Resumiendo, Johann ocupó hasta el mismo despacho de su hermano, sin demasiado remordimiento.
Volver al principio del capítulo             Volver al principio del artículo             Volver al principio

De nuevo el gen egoísta

Respecto a Daniel, la historia llevaba camino de repetirse. El destino del joven, según su ilustre padre, era casarse con una joven rica y dedicarse al comercio, no pasarse la vida de triste profesor de matemáticas sin un céntimo.

Y se repitió la historia. Daniel agachó la cabeza, dijo amén aunque en su fuero interno pensaba hacer lo que le diera la gana y, al mismo tiempo, se alió con su hermano mayor Nikolaus II para que éste le enseñara… y que le iba a enseñar... matemáticas. Era el sino de la familia.

Se entusiasmó con los logros de su padre y de su tío pero también descubrió los trabajos de Newton, a quien su padre no perdía oportunidad de denostar. Newton con unas sencillas leyes había conseguido explicar el movimiento de los sólidos.

Daniel se preguntó si las leyes de Newton no serían aplicables al movimiento de los fluidos. Sin duda el joven Bernouilli recordaría el movimiento de los molinos y de los canales de la Holanda de su primera infancia.

Johann, empeñado ahora en la batalla contra Newton, requirió refuerzos e incorporó a sus fuerzas de choque a su sobrino Nikolaus I, a su hijo Nikolaus II e incluso lo intentó con Daniel, de trece años, pero éste se negó a participar en la batalla. Johann no se molestó demasiado ya que creyó que ello confirmaba su idea de que su hijo no estaba interesado por las matemáticas, de modo que le colocó de aprendiz en el negocio farmacéutico, con tanto éxito como había tenido el abuelo con él mismo.

Estaba visto que el destino de Daniel no pasaba por la industria farmacéutica. Daniel también lo comprendió y decidió ponerse por montera las inspiraciones paternales, incluso en lo referente a la novia prevista y a las matemáticas y así lo expuso. Johann aceptó que Daniel estudiara matemáticas pero de convertirse en profesional de esta ciencia, nada de nada, debía estudiar medicina. Como se ve, la historia se repetía una generación más tarde.

Daniel se matriculó en Medicina pero siguió, acompañado de su hermano Nikolaus II, estudiando matemáticas. Al final Johann, viendo que no había nada que hacer, accedió a enseñar él mismo a su hijo. Desde luego Johann no era un gran pedagogo. Una vez, por ejemplo, propuso un problema especialmente difícil a su retoño. Éste estuvo dándole vueltas al asunto hasta que lo resolvió. Johann, en lugar de felicitarle, le reprendió por no haberlo resuelto sobre la marcha. Daniel era un chico listo, a los 15 años ingresó en la facultad de medicina. Los estudios médicos le llevaron a concebir el cuerpo como una máquina e interesarse de un modo especial en el comportamiento de los fluidos. De hecho se vio muy influenciado por el médico inglés Harvey. Su tesis se refirió a la mecánica de la respiración humana.

Volver al principio del capítulo             Volver al principio del artículo             Volver al principio

Sorte premium non tulit

Acabados los estudios a los 21 años, solicitó un puesto docente en la Universidad. No lo obtuvo, aunque esta vez no se repitió la historia paterna. La costumbre en la Universidad era sortear las plazas docentes entre los candidatos mejor cualificados. Salieron dos puestos, de anatomía y botánica y de lógica. Daniel quedó finalista, pero perdió ambos sorteos. Duro golpe para quien pensaba que con el cálculo se podía predecir todo y cae víctima del azar de un sorteo.

daniel.jpg (25313 bytes)

Para olvidar su relativo fracaso, dejó Basilea y marchó a Italia, pero cayó enfermo de fiebres. Durante su convalecencia, se carteó profusamente con Christian Golbach. El contenido de estas cartas eran fundamentalmente reflexiones sobre lo que había aprendido con su padre.

Una vez repuesto, decidió presentarse a la competición anual de la Academia Francesa. La academia gala planteaba cada año un problema. Esta vez se proponía la construcción de un reloj de arena o de agua fiable incluso con mares embravecidos. Hay que resaltar que la búsqueda de un reloj de precisión era una cuestión importante de cara a la navegación, ya que era fundamental para el cálculo de la latitud del lugar. Años más tarde, el Almirantazgo británico ofreció igualmente un importante premio en este sentido. La historia que siguió relativa a este premio también es interesante y divertida. Daniel propuso montar el reloj sobre una lámina de hierro que debía flotar sobre un recipiente con mercurio. Su solución resultó premiada, con sorpresa por parte del propio Bernouilli. Además, su amigo Golbach decidió publicar las cartas que Daniel le había escrito.

Al regresar a Basilea, Daniel se encontró una invitación de Catalina de Rusia para que viajara a San Petersburgo y ocupara un puesto de profesor de matemáticas en la Academia Imperial. A Daniel le daba miedo, pero su hermano Nikolaus II se ofreció a acompañarle. La emperatriz aceptó y ambos se desplazaron a la capital rusa. En otoño de 1675, se encaminaron a Rusia, en un largo viaje de dos meses. A pesar de la cálida acogida del pueblo ruso, el clima se mostró inmisericorde y el pobre Nikolaus enfermó y falleció víctima de la tuberculosis.

Kikolaus II.jpg (36777 bytes)

Volver al principio del capítulo             Volver al principio del artículo             Volver al principio

Entra en escena un primo postizo

Entonces Daniel requirió la presencia de un joven alumno de su padre, hijo de un pastor calvinista, llamado Leonhart Euler. Era un auténtico prodigio, de quien se llegó a decir que en su tierna infancia había sido capaz de leer una traducción latina de los libros de Euclides, con la salvedad de que no sabía latín.

Mientras Euler se desplazaba a San Petersburgo, Daniel volvió sobre el tema de la circulación de la sangre y del problema de los fluidos en movimiento.

Por estas fechas falleció Sir Isaac Newton. Johann Bernouilli, en cierta manera se alegró; no le cabía duda de que ahora nadie le iba a discutir el primer puesto en la clasificación de matemáticos vivos. Claro que no todo es gozo en la vida. El Marqués de l’Hôpital se la acababa de jugar. Recordemos que había contratado tiempo hacia a Bernouilli como profesor y confidente científico. Pues bien, el señor marqués había salido de la cáscara amarga ya que, para empezar, se atribuyó algunos de los descubrimientos que Bernouilli le había confiado, encima dejó de pagarle la cantidad estipulada y, para colmo, había publicado un libro de cálculo que se vendió muy bien sin, no ya compartir los beneficios, sino ni siquiera citando al basiliense.

Por otra parte, los problemas con la familia política habían obligado a Johann a renunciar a muchas ofertas interesantes y le habían dejado en su pequeña universidad. Para colmo, ni siquiera había obtenido una miserable mención en el concurso de la Academia Francesa, cuando hasta el pipiolo de su hijo había logrado un primer premio. Es más, su alumno Euler, con sólo 19 años, acaba de obtener el Diploma de Mérito de la Academia.

Euler llegó San Petersburgo y en el magnífico ambiente de la Academia Rusa, que estaba reclutando a las mejores cabezas de Europa y proporcionándoles los medios necesarios, trabajaron con ahínco en problemas comunes y por separado. Euler era más teórico, sin embargo, Daniel era más práctico, experimental se diría ahora. Sobre todo le obsesionaba la dinámica de los fluidos, especialmente la medida de la presión en el interior de una tubería, para medir la presión sanguínea. Al fin, después de desechar el método de Mariotte, con un balancín acabó lográndolo, haciendo una pequeña punción a la que acoplaba un capilar, cuya altura precisamente le daba la medida deseada. Hasta la aparición del esfigmomanómetro actual, Silva-Ricci 1996, habían de pasar muchos años.

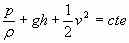
A partir de ahí, combinando sus observaciones con los estudios anteriores, sobre todo con la "Vis Viva" de Lebnitz que les había preocupado a él y a su padre en sus primeros años de aprendizaje, llegó a una ecuación fundamental

Presión + vis viva = Constante

incluso llegó a una expresión de la vis viva en función de la velocidad y la densidad

P+ r×v2= Cte

(más adelante, casi un siglo, G. Coriolis introdujo el factor ½ en la fuerza viva, tal como se conoce hoy

P+ ½ r×v2= Cte).

Bernouilli comunicó sus descubrimientos a sus amigos de la Academia, especialmente a Euler, que se estaba cimentando una sólida fama y que era el científico que mayor cantidad y variedad de trabajos estaba publicando.

En 1730, por fin Johann obtuvo el gran premio de 2.500 libras, otorgado por la Academia Francesa. Daniel a pesar de lo bien que estaba en Rusia sintió deseos de regresar a casa y lo hizo optando por una plaza en la Universidad. Por fin, los dados le fueron favorables y obtuvo una plaza de profesor de Anatomía y Botánica.

Antes de dejar Rusia, concluyó un manuscrito en que relacionaba sus trabajos a lo largo de los siete años que estuvo a orillas del Báltico, incluyendo por supuesto sus descubrimientos sobre la mecánica de fluidos. Antes de publicarlo, quiso añadir una sección final que confió a su amigo Euler, a quien recomendó además para que ocupara el puesto que él iba a dejar vacante.

Volver al principio del capítulo             Volver al principio del artículo             Volver al principio

De vuelta a casa y cómo los celos cambian de signo

Daniel regresó a Basilea. Fue muy bien recibido, incluso se alojó en casa de su padre. El trabajo no era agobiante, por lo que pudo dedicarse a completar su manuscrito.

Entonces surgió una dificultad. En 1734, la Academia concedió el premio ex-aequo a padre e hijo. El padre se sintió ofendido y humillado por la decisión y las relaciones con su hijo se enrarecieron hasta el extremo que Daniel abandonó la casa paterna.

Trabajó duramente y al final del año tenía completado en manuscrito que dio a la imprenta en Estrasburgo. Dado el lento sistema de impresión y encuadernado de entonces, el libro tardó tres años en salir a la calle, su título: "Hidrodinámica" y firmaba "Daniel Bernouilli, hijo de Johann", con lo que pretendía homenajear a su ingrato padre.

Daniel preparó un lote de ejemplares que envió a su amigo Euler, con indicaciones de que se quedara con un ejemplar y repartiera los restantes entre los científicos de la Academia, además de que entregara uno a la Emperatriz Ana. Pasó casi un año y Daniel no recibió noticias ni comentarios de su trabajo, por lo que escribió a Euler. No había habido noticias porque los libros no habían llegado. Al fin llegaron y Euler mandó una fría alabanza a Daniel. Al final se destapó el pastel. Johann había enviado a Euler un manuscrito, supuestamente original, sobre mecánica de fluidos que debía titularse "Hidráulica". Euler manifestaba su sorpresa porque no sabía que Johann se hubiera dedicado nunca a investigar en este terreno, pero daba por sentada la honestidad del viejo Bernouilli.

Al final de 1740 llegó el libro completo.

Euler escribió una elogiosa reseña al libro del padre y más o menos se excusó porque hería los sentimientos de Daniel.

En 1743, apareció impresa La Hidráulica. En el frontispicio se indicaba como año de publicación 1732 (evidentemente, era falso), dando a entender que era anterior a la Hidrodinámica. Contenía, además, un extracto de la crítica de Euler.

El disgusto de Daniel se puede imaginar: "Se me ha despojado de mi entera "Hidrodinámica" sin que quepa atribuir a mi padre ni el crédito de una coma". Daniel estaba convencido de que Euler había devuelto al viejo sus favores, precisamente reteniendo la difusión del libro y dejando que el anciano Bernouilli se alzara con la paternidad de la mecánica de fluidos. Incluso Daniel reprochaba a Euler que minimizara sus trabajos.

Daniel nunca perdonó a su padre, incluso llegó, en su dolor, a no perdonar a Dios el triste y mezquino plan que había asignado a su vida, en la que entre su padre y su mejor amigo le había privado de lo que era suyo. Al final, dejó las matemáticas y lamentó no haberse dedicado a zapatero en vez de a matemático. Es curioso que también se atribuya a Einstein una frase semejante ante las ruinas de Hiroshima: "si llego a saber esto, me dedico a zapatero" ¿Conocería el genio de Ulm la frase del infeliz calvinista de Basilea?

genealogiab.jpg (19233 bytes)

Volver al principio del capítulo             Volver al principio del artículo             Volver al principio

Recensión de libro de Física divulgativa

José A. Martínez Pons

Ficha técnica:

Título: Cómo mojar una galleta. La ciencia en la vida cotidiana
Autor: L. Fisher
Traducción: Isabel Merino
Editorial Mondadori. 2003. Colección Arena Abierta.

Los aficionados a los libros de divulgación científica lo tenemos fácil si buscamos libros relacionados con el primer microsegundo del Universo, la física de partículas o la relatividad de altas velocidades, incluso las teorías de supercuerdas. Muchos autores de más o menos talla, y con mayor o menor éxito, ensayan hacer comprender al público el estado actual de la física en estos campos, sin embargo es bastante difícil encontrar quien con rigor, precisión y seriedad intente explicar el fundamento científico de los fenómenos de la vida cotidiana, que no por vistos todos los días dejan de encerrar un profundo contenido científico, incluso, muchas veces no tienen una justificación científica clara y completa.

El doctor Fisher, experto y con muchos años de experiencia en la tecnología de los alimentos, se propone en este libro dar una explicación a un conjunto amplio y variado de situaciones, siempre desde el rigor y el fundamento científico.

Toca cuestiones muy variadas como la que da título al volumen: ¿Cómo mojar una galleta? Donde hace gala de un uso preciso del método científico: experimentación, observación, emisión de hipótesis y propuesta del modelo, También analiza otras cuestiones culinarias, como el cocimiento de un huevo, y gastronómicas:¿Por qué sentimos placer en la comida? ¿Cuál es la función de los mecanismos de la deglución relacionadas con el gusto?

Realiza una breve incursión en la estimación de resultados actuando sobre la cesta de la compra.

Las espumas y el papel de los tensioactivos son objeto de otro capítulo.

Las herramientas cotidianas: martillos, cuñas, destornilladores y llaves inglesas le sirven como base para explicar los principios fundamentales de las máquinas simples.

También los deportes: el lanzamiento del bumerán (el autor es australiano) o la caza de la pelota de criquet le permiten dar unas excelentes lecciones de aerodinámica, cinemática y estática. Concluye el cuerpo del libro con la "física del sexo".

No menos interesantes son la "coda" y los dos "apéndices" en que desciende a cuestiones históricas (reconocimiento de la figura del alemán Mayer, ridiculizado en su tiempo y hoy reconocido como uno de los pioneros de la termodinámica) y de más fundamento científico y sobre todo las notas finales, que constituyen un amplio conjunto de referencias de gran utilidad.

Se trata de un libro de lectura fácil, sin fórmulas, que por una parte puede satisfacer la curiosidad sobre cosas que uno, especialista o no, se pregunta y no obtiene respuesta clara y de un modo especial para los profesores de física puede ser una fuente de ejemplos de clase, incluso puede darles ideas para proponer a sus alumnos pequeños trabajos de investigación, donde el rigor no esté reñido con la sencillez.

Volver al principio de la recensión            Volver al principio
linea.gif (922 bytes)
Vivat Academia, revista del "Grupo de Reflexión de la Universidad de Alcalá" (GRUA).
REDACCIÓN
Tus preguntas y comentarios sobre este Web dirígelos a vivatacademia@uah.es
Copyright © 1999 Vivat Academia. ISSN: 1575-2844.  Números anteriores. Año VIII
Creative Commons License attrib.gif (1552 bytes) sa.gif (396 bytes) nc.gif (1017 bytes)

AVISO LEGAL

Última modificación: 07-04-2006